EasyManua.ls Logo

Moog THE SOURCE - INTERFACING

Moog THE SOURCE
81 pages
Print Icon
To Next Page IconTo Next Page
To Next Page IconTo Next Page
To Previous Page IconTo Previous Page
To Previous Page IconTo Previous Page
Loading...
INPUTS
Control
Voltage
In
As
an
input,
the
CV
jack
sends
any
control
voltage
received
to
the
oscillators
and
filter,
which
track
this
incoming
voltage
at
1
volt/octave.
Any
device
that
outputs
a
control
voltage
a
Moog
1120
Foot
Pedal
Controller,
an
external
sequencer,
or
another
synthesizer's
keyboard
may
be
used
as
a
control
input.
Trigger
In
The
Source's
contour
generators
will
be
triggered
whenever
an
S-trig
(a
shorting
connection)
appears
at
the
input
portion
of
the
Trig
jack.
This
S-trig
may
be
generated
by
another
synthesizer,
synthesizer
accessory,
or
a
simple
mechanical
switch
closure.
Such
a
closure
must
be
opened
and
reclosed
to
generate
any
successive
triggers.
CABLES
To
use the
interface
connections
correctly,
3-conductor
(stereo)
plugs
must
be
used.
Input
connections
appear
at
the
ring;
output
connections
are
at
the
tip.
Output
cables
should
be
constructed
as
follows:
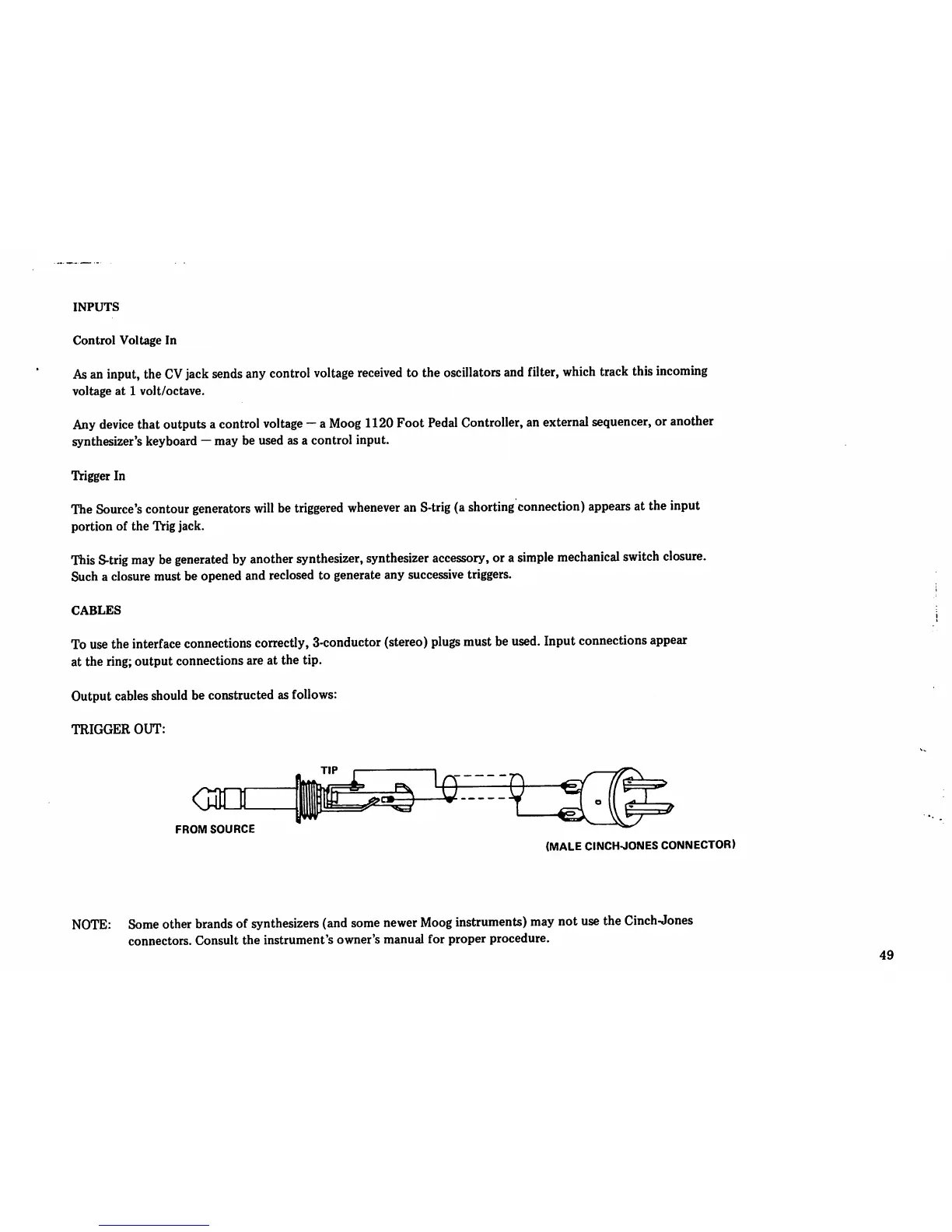
TRIGGER
OUT:
TIP
FROM
SOURCE
(MALE
CINCH-JONES
CONNECTOR)
NOTE:
Some
other
brands
of
synthesizers
(and
some
newer
Moog
instruments)
may
not
use
the
Cinch-Jones
connectors.
Consult
the
instrument's
owner's
manual
for
proper
procedure.
49

Related product manuals