EasyManua.ls Logo

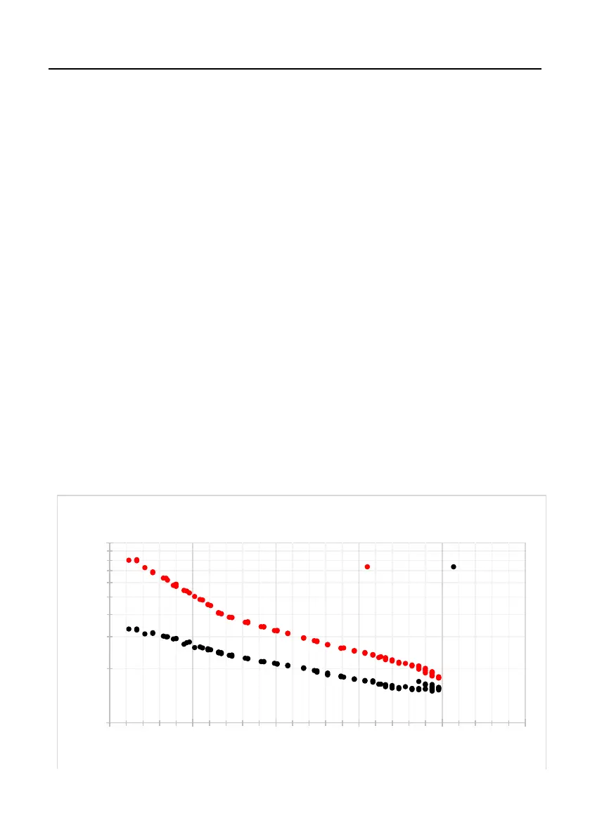
NewAE CHIPSHOUTER CW520 - Figure 3: 1 Mm Tip Pulse Width

NewAE CHIPSHOUTER CW520
66 pages
Print Icon
To Next Page IconTo Next Page
To Next Page IconTo Next Page
To Previous Page IconTo Previous Page
To Previous Page IconTo Previous Page
Loading...
ChipSHOUTER Users Manual: Specifications
21
These figures were generated by using the external hardware
trigger to sweep a range of input pulse widths over a range
of set capacitor bank voltages. They represent typical (not
guaranteed) characteristics, taken at 25C.
The allowable range is between the minimum and maximum
width values at a given voltage. Note the smaller (1mm) tip
almost always generates a narrow pulse, regardless of input
pulse duration. This is especially apparent at high charge
voltage values.
The larger (4mm) tip allows a wider range of possible
pulse widths, and more closely follows the commanded input
width. It is extremely important to use the oscilloscope
monitoring outputs to see the actual pulse injected into
your target probe, or use an external H-Field probe to moni-
tor it.
The actual number of consecutive pulses is limited al-
most entirely by probe characteristics, and not the
ChipSHOUTER itself. This can be seen in that inserting more
consecutive pulses often requires more delay between them.
10
100
100 150 200 250 300 350
Pulse Width (ns)
Peak Output Voltage (Measured)
1mm Tip Pulse Width Limits
Maximum Minimum
Figure 3: 1mm tip pulse width

Table of Contents