EasyManua.ls Logo

NUM 1020 M - 6.3 No Movement in Automatic Mode

NUM 1020 M
388 pages
Print Icon
To Next Page IconTo Next Page
To Next Page IconTo Next Page
To Previous Page IconTo Previous Page
To Previous Page IconTo Previous Page
Loading...
6 - 8 en-938821/2
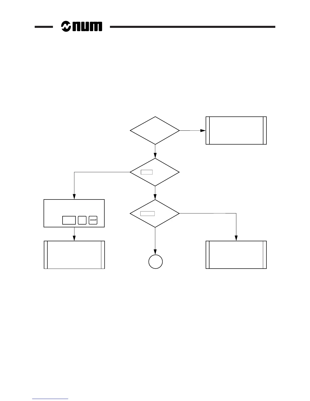
6.3 No Movement in Automatic Mode
Failure symptoms
Any machining mode selected.
No movement generated.
Trouble-shooting
Intervention procedure
after machining stop
(CYHLD).
Refer to the manufacturer's
manual for the
procedure to follow.
Rotate the feed
potentiometer.
Is the rate
override potentiometer
set to zero
?
1
Yes
No
Yes
Yes
No
No
Display the message on page
"OPERATOR MESSAGES"
Is the
MSG indicator
displayed
?
Is the
CYHLD
indicator
displayed
?
PLC
I/O
)
0

Table of Contents

Related product manuals