EasyManua.ls Logo

NUM 1020 W - No Cycle Start

Default Icon
388 pages
Print Icon
To Next Page IconTo Next Page
To Next Page IconTo Next Page
To Previous Page IconTo Previous Page
To Previous Page IconTo Previous Page
Loading...
en-938821/2 6 - 11
Operational Problems
6
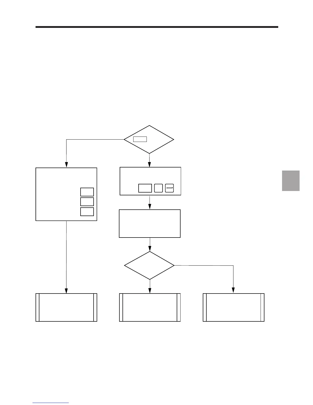
6.4 No Cycle Start
Failure symptoms
Any machining mode selected.
The cycle is not started ("INCYC" indicator absent from the status window) by pressing the "CYCLE" button on the
machine panel.
Trouble-shooting
Analyse and
remedy the fault.
Examine the PLC
programme to
determine the origin
of the fault.
Call NUM
customer support.
Yes
No
NOBSTOP = 0
?
Display
"PLC MEMORY" page
Display the no stop at end
of block condition:
NOBSTOP
Is the
NC ?? indicator
displayed
?
Display the error number
and the block with the error on
one of the following pages:
-
current position
- data
- programme
AXIS
INFO.
PROG.
Yes
No
PLC
I/O
@
2

Table of Contents

Related product manuals