EasyManua.ls Logo

OCULUS C-QUANT - The Psychometric Function

Default Icon
61 pages
Print Icon
To Next Page IconTo Next Page
To Next Page IconTo Next Page
To Previous Page IconTo Previous Page
To Previous Page IconTo Previous Page
Loading...
10 How the C-Quant works
Instruction Manual C-Quant ( G/80000/1007/en) 31 / 56
2 The right test field shows compensation light at intensity level 5. This means that the
left test field has a flicker intensity of 10, while the right field has a flicker intensity
of 10 -5 = 5. The response will most often be "0". If the stimulus is repeated suffi-
ciently often he will sometimes give "1". Ultimately the outcome will tend towards
0.1.
3 This stimulus is referred to as direct compensation. The straylight is of equal inten-
sity as the compensation light, so that the patient will not see any flicker in the right
test field and will therefore answer with "0".
4 Here the difference in flicker intensity between the right and left test field is 5 again.
As with stimulus 2 the flicker intensity of the left test field is greater. The average
response value will be 0.1.
5 The compensation light is precisely twice as intense as the scattered light, meaning
that the flicker intensity is 20-10=10, equal to that in the other test field. The patient
will therefore find that the two test fields flicker with equal intensity and the out-
come will tend towards 0.5.
6 Here the compensation light is 2.5 times as intense as the scattered light, and the
patient will give an average response of 0.85.
7 The compensation light is 3 times as intense as the scattered light and clearly pro-
duces greater flicker. The patient will give 1 on average.
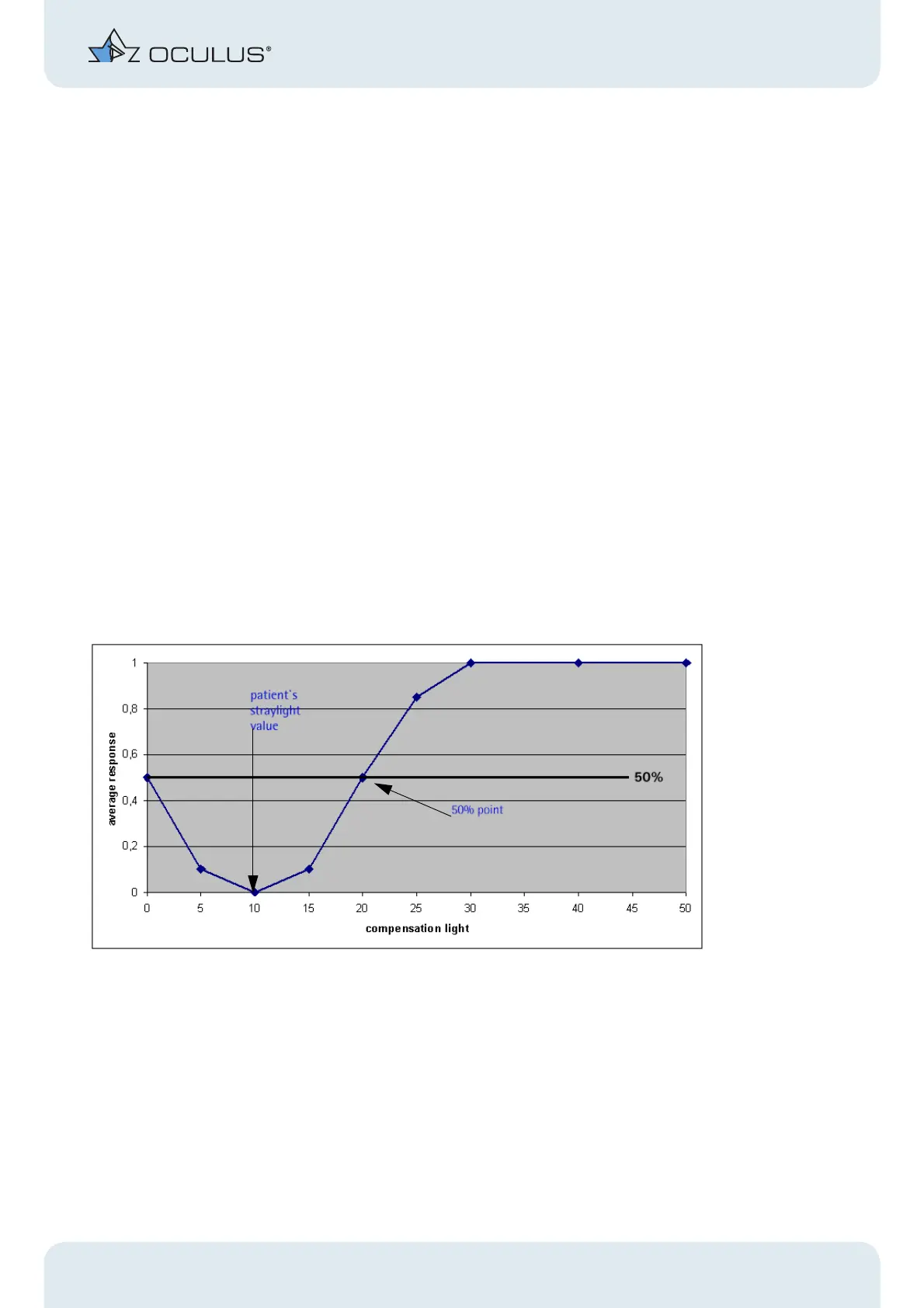
Plotting the results in a chart gives the following picture (two measurement points have
been added to extend the curve):
Fig. 10-3: Plotting the results in a chart
10.3 The psychometric function
The curve in Fig. 10-3 represents a rough approximation of what is known as the "psy-
chometric function".
This concept is widely applicable to human sensory functions and is used to describe phe-
nomena of hearing, smelling, pain perception and vision.
In our case the curve will shift over the abscissa (x-axis) to a greater or lesser degree, de-
pending on the patient’s straylight value.

Table of Contents