EasyManua.ls Logo

Panasonic DMR-XW380EB

Panasonic DMR-XW380EB
122 pages
To Next Page IconTo Next Page
To Next Page IconTo Next Page
To Previous Page IconTo Previous Page
To Previous Page IconTo Previous Page
Loading...
11
3.5. (HDD/DVD Drive) Service Navigation
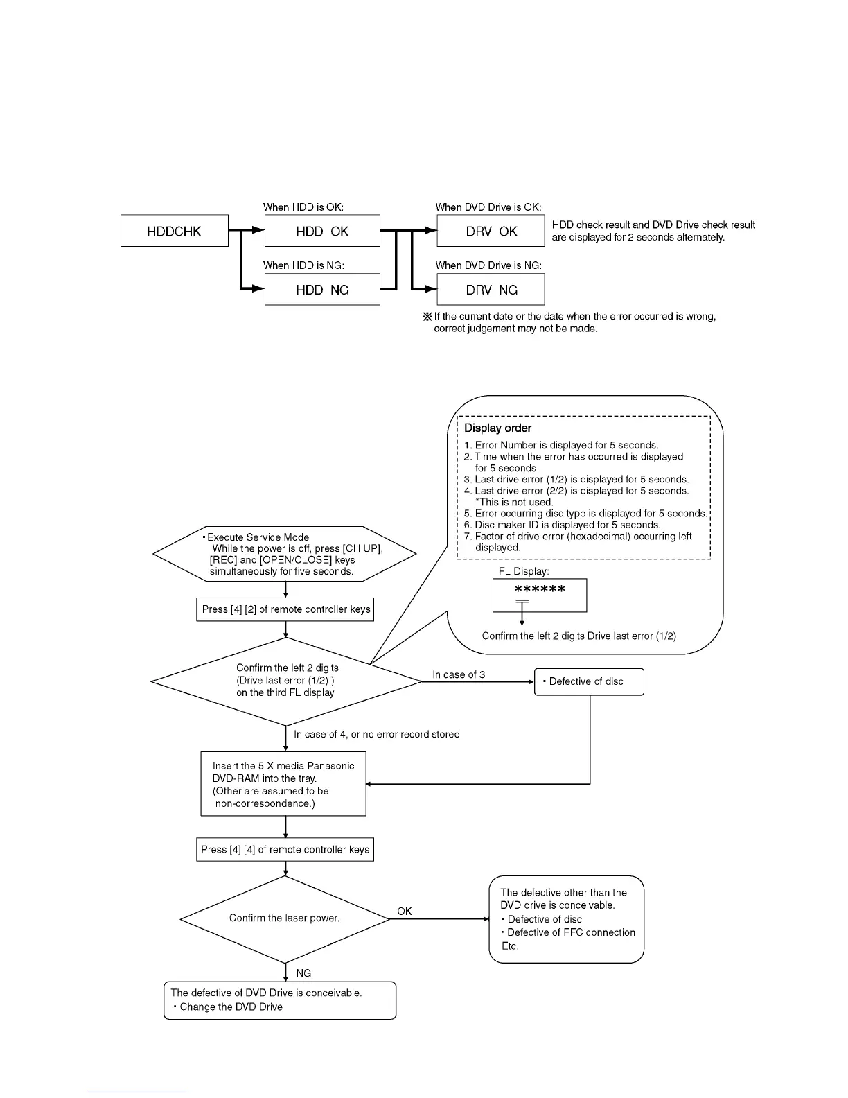
3.5.1. HDD/DVD Drive Malfunction check (Simplified Method)
Perform simple quality judgement process of HDD/DVD Drive according to the following operations.
1. Execute Service Mode
While the power is off, press [CH UP], [REC] and [OPEN/CLOSE] keys simultaneously for five seconds.
2. Press [3] [8] of remote controller keys in service mode.
3. Judge the quality on FL display.
3.5.2. DVD Drive Operation check flow
Perform quality judgement process of DVD Drive according to the following operation.

Table of Contents

Related product manuals