EasyManua.ls Logo

Panasonic EP-MA03

Panasonic EP-MA03
72 pages
To Next Page IconTo Next Page
To Next Page IconTo Next Page
To Previous Page IconTo Previous Page
To Previous Page IconTo Previous Page
Loading...
23
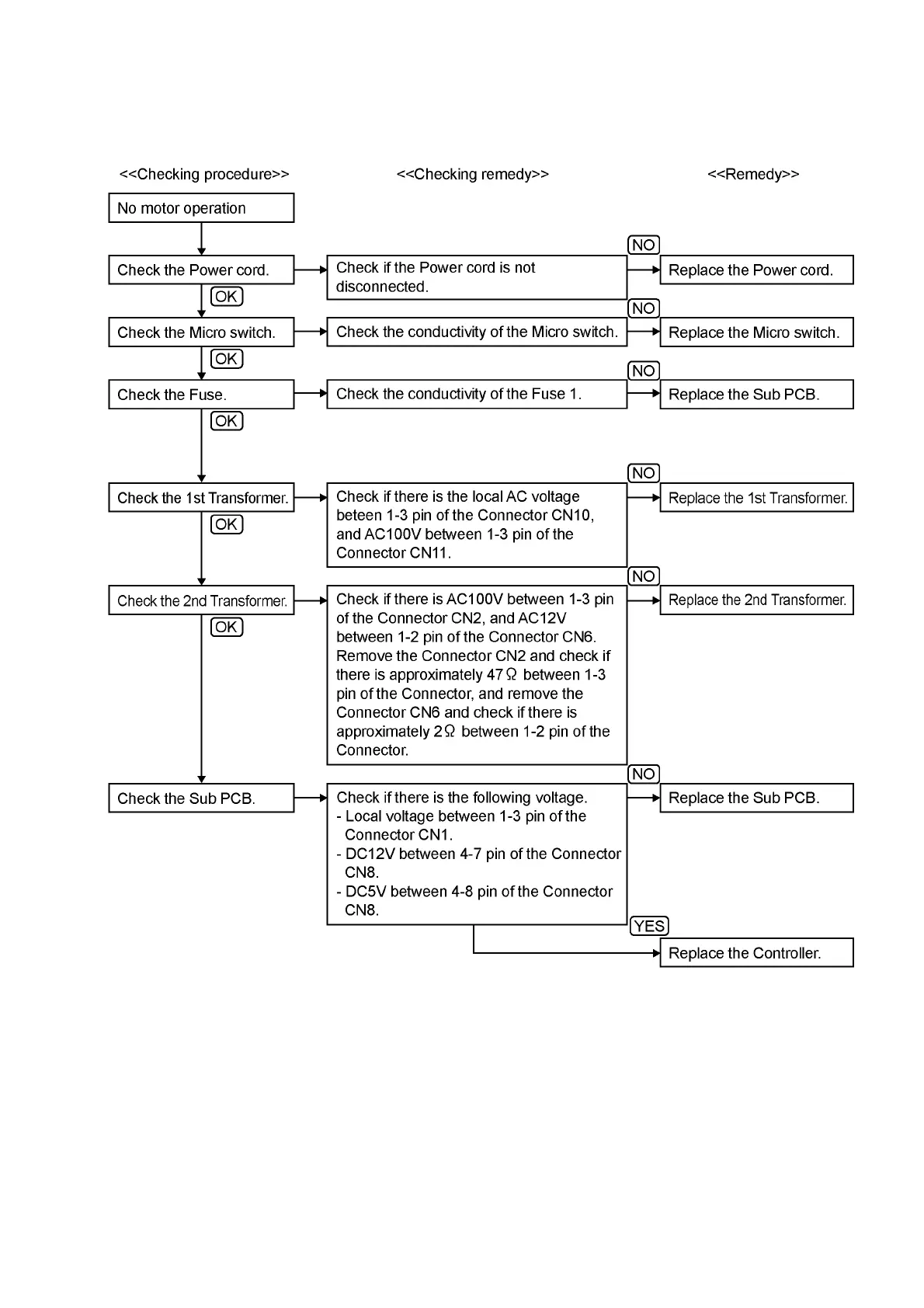
7 Troubleshooting Guide
7.1. Checking

Table of Contents

Other manuals for Panasonic EP-MA03

Related product manuals