EasyManua.ls Logo

Panasonic SA-VK81DEE - Optical Pickup Self-Diagnosis and Replacement Procedure; Self-Diagnosis

Panasonic SA-VK81DEE
153 pages
Print Icon
To Next Page IconTo Next Page
To Next Page IconTo Next Page
To Previous Page IconTo Previous Page
To Previous Page IconTo Previous Page
Loading...
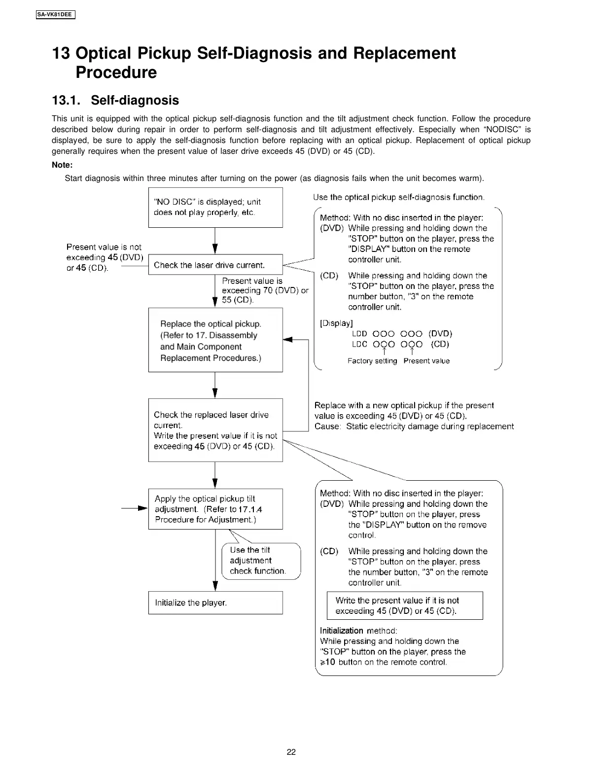
13 Optical Pickup Self-Diagnosis and Replacement
Procedure
13.1. Self-diagnosis
This unit is equipped with the optical pickup self-diagnosis function and the tilt adjustment check function. Follow the procedure
described below during repair in order to perform self-diagnosis and tilt adjustment effectively. Especially when “NODISC” is
displayed, be sure to apply the self-diagnosis function before replacing with an optical pickup. Replacement of optical pickup
generally requires when the present value of laser drive exceeds 45 (DVD) or 45 (CD).
Note:
Start diagnosis within three minutes after turning on the power (as diagnosis fails when the unit becomes warm).
22
SA-VK81DEE
All manuals and user guides at all-guides.com

Table of Contents

Related product manuals