EasyManua.ls Logo

Philips PM 6303 - 2.2.4. Mains voltage setting and fuses; 2.3. MAINS VOLTAGE SETTING AND FUSES

Philips PM 6303
20 pages
Print Icon
To Next Page IconTo Next Page
To Next Page IconTo Next Page
To Previous Page IconTo Previous Page
To Previous Page IconTo Previous Page
Loading...
E
2-2
2.2.4.
Mains
voltage setting
and
fuses
Before
inserting
the mains
plug into
the
mains socket,
make
sure that
the
instrument
is
set to
the local
mains voltage.
The instrument
shall
be set
to
the
local
mains voltage
only
by a
qualified
person
who
is
aware
of the
hazard
involved.
WARNING:
If
the mains
plug
has
to be adapted
to the
local
situation,
such
adaption
should
be
done
by
a qualified
person
only.
Make
sure that
only
fuses of
the required
current
rating, and
of
the specified
type,
are
used
for
rene-
wal.
The
use of
repaired fuses,
and/or
the
short-circuiting
of fuse
holders,
are
prohibited.
The
fuse shall
be renewed
only
by
a qualified
person who
is aware
of the
hazard
involved.
WARNING:
The
instrument
shall
be disconnected
from
all voltage
sources
when
a fuse
is
to be
rene-
wed,
or when
th
e
instrument
is
to be adapted
to a
different
mains
voltage.
2.3.
MAINS
VOLTAGE
SETTING
AND
FUSES
The
safety
instructions
in
chapter
2.2.4.
must be followed.
On delivery
from
the factory
the
instrument
is
set to 220
V (PM 6303)
resp.
1 10 V
(PM
6303 M).
If
the
instrument
is
to be
used on
a different
supply
voltage
proceed as
follows:
-
Unplug
the
mains
connector
Fold
up
the handle
to the
top.
For
this push
the
buttons of
the
handle.
Loosen the
central
screw at
the rear
-
Dismantle
the cabinet
~
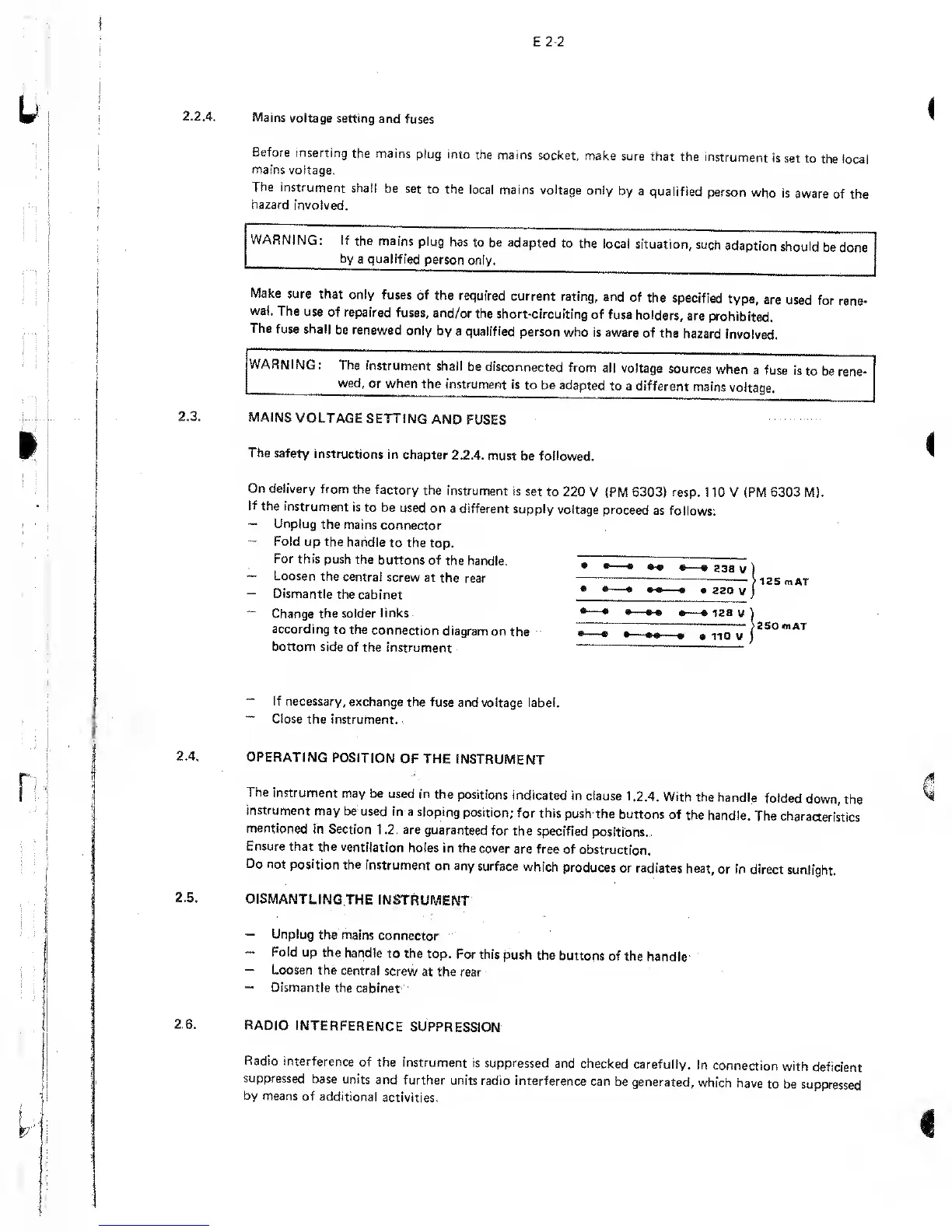
Change the solder
links
according
to the
connection
diagram
on
the
bottom side
of
the instrument
*
«
«
«
238
v
«
«
«
«
220
y
*
*—
6
«
*528
V#
« .
.
'125
mflT
>
250 *rt
AT
if
necessary,
exchange the fuse
and voltage label.
~
Close
the instrument.
.
2.4.
OPERATING
POSITION
OF THE
INSTRUMENT
The
instrument
may be
used in
the positions
indicated
in clause
1.2.4.
With
the
handle
folded
down,
the
instrument
may
be used in
a sloping
position;
for this
push
the buttons
of
the handle.
The
characteristics
mentioned
in Section
1 .
2. are guaranteed
for
the specified
positions..
Ensure
that the
ventilation
holes in
the cover
are free
of
obstruction.
Do
not position
the
instrument
on any surface
which
produces
or radiates
heat,
or in direct
sunlight.
2.5.
DISMANTLING
THE
INSTRUMENT
Unplug
the mains
connector
-
Fold up the
handle
to the
top.
For this
push the
buttons
of the
handle
-
Loosen the central
screw
at
the rear
-
Dismantle the
cabinet
2.6.
RADIO
INTERFERENCE
SUPPRESSION
Radio
interference
of the instrument
is suppressed
and
checked
carefully.
In
connection
with
deficient
suppressed
base units
and
further
units radio interference
can
be generated,
which have
to be
suppressed
by means
of additional
activities.