EasyManua.ls Logo

Pitco Frialator SF14 UFM - Inl11 Al ADJUSTMENTS; Visual Checks

Pitco Frialator SF14 UFM
43 pages
Print Icon
To Next Page IconTo Next Page
To Next Page IconTo Next Page
To Previous Page IconTo Previous Page
To Previous Page IconTo Previous Page
Loading...
Excessive ventilation causes drafts, which will interfere with the proper operation of the pilot and
the burner. Leave at least 18 inches of open space between the fryer's flue vent opening and the intake
of the exhaust hood.
Ensure that your ventilation system does not cause a down draft at the fryer's
flue opening. Down drafts will not allow the fryer to exhaust properly and will
cause overheating which may cause permanent damage. Damage caused by
down drafts will not be covered under equipment warranty. NEVER allow
anything to obstrud the flow of combustibles or ventilation exiting from the
fryer flue. DO NOT put anything on top of the flue area.
NEVER connect the blower directly to the flue openings. The direct flow of
air will cause poor temperature recovery, poor ignition, inefficient operation
of the fryer, and could extinguish the pilot.
1.5 INI11AL ADJUSTMENTS
After your fryer has been installed as described in section 1.4, it needs to be adjusted to ensure that
it will perform as designed. These adjustments must be performed by a qualified person. To
perform these adjustment the following tools will be needed:
. Manometer (low pressure gauge) . Digital Thermometer (Temperature probe)
. DC Millivolt Meter
1.5.1 Visual Checks
Before you begin filling and adjusting the fryer, perform the following visual
checks:
After the fryer is in its permanent location, check for levelness. Any
additional leveling that is necessary can be perfonned as described
in section 1.3.
a.
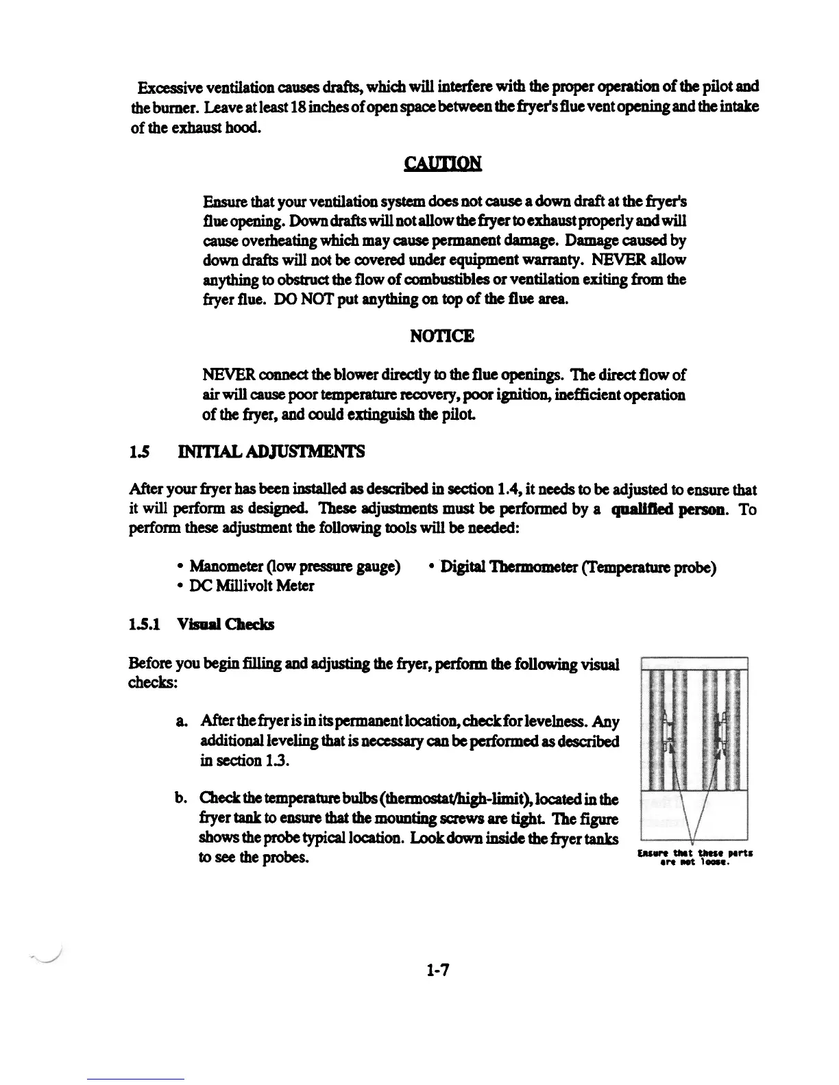
b. Oleck the temperature bulbs (thennostat/high-limit), located in the
fryer tank to ensure that the mounting screws are tight The figure
shows the probe typical location. Look down inside the fryer tanks
Ensure tIIIt Un. pen-
to see the probes. 8,. Nt 1_.
CAU'I10N
NonCE
1-7

Related product manuals