EasyManua.ls Logo

Pitco Frialator SF14 UFM - Fryer Shutdown; Power Failure

Pitco Frialator SF14 UFM
43 pages
Print Icon
To Next Page IconTo Next Page
To Next Page IconTo Next Page
To Previous Page IconTo Previous Page
To Previous Page IconTo Previous Page
Loading...
knob is located behind the front doors or on the front oontrol panel.
c. The main burners will light and cycle at the thennostat setting.
2.3.2 Fryer Shut-Down
There are two shutdown modes of fryer operation, STAND BY and COMPLETE. The standby mode
removes the ability for the fryer's main burners to cycle. Complete shutdown turns off the gas supply
to the fryer. Shut down the fryer by:
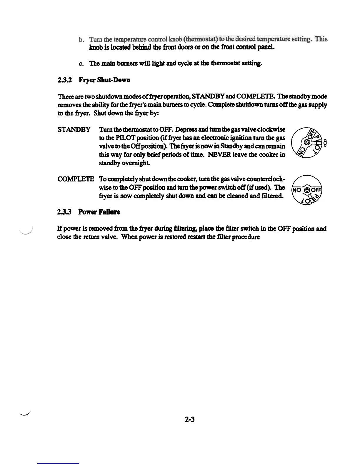
STANDBY Turn the thennostat to OFF. Depress and turn the gas valve clockwise
to the PILOT position (if fryer has an electronic ignition turn the gas
valve to the Off position). The fryer is now in Standby and can remain
this way for only brief periods of time. NEVER leave the cooker in
standby overnight.
COMPlEI'E To oompletely shut down the cooker, turn the gas valve counterclock-
wise to the OFF position and turn the power switch off (if used). The
fryer is now completely shut down and can be cleaned and filtered.
2.3.3 Power Failure
If power is removed from the fryer during filtering, place the filter switch in the OFF position and
close the return valve. When power is restored restart the filter procedure
'--I
~
~
0
2-3

Related product manuals