EasyManua.ls Logo

Pride Q6 Edge - Page 7

Pride Q6 Edge
32 pages
Print Icon
To Next Page IconTo Next Page
To Next Page IconTo Next Page
To Previous Page IconTo Previous Page
To Previous Page IconTo Previous Page
Loading...
NOTE: If the power chair is
equipped with a power posi-
tioning system, refer to the
troubleshooting guide for that
particular power positioning
system.
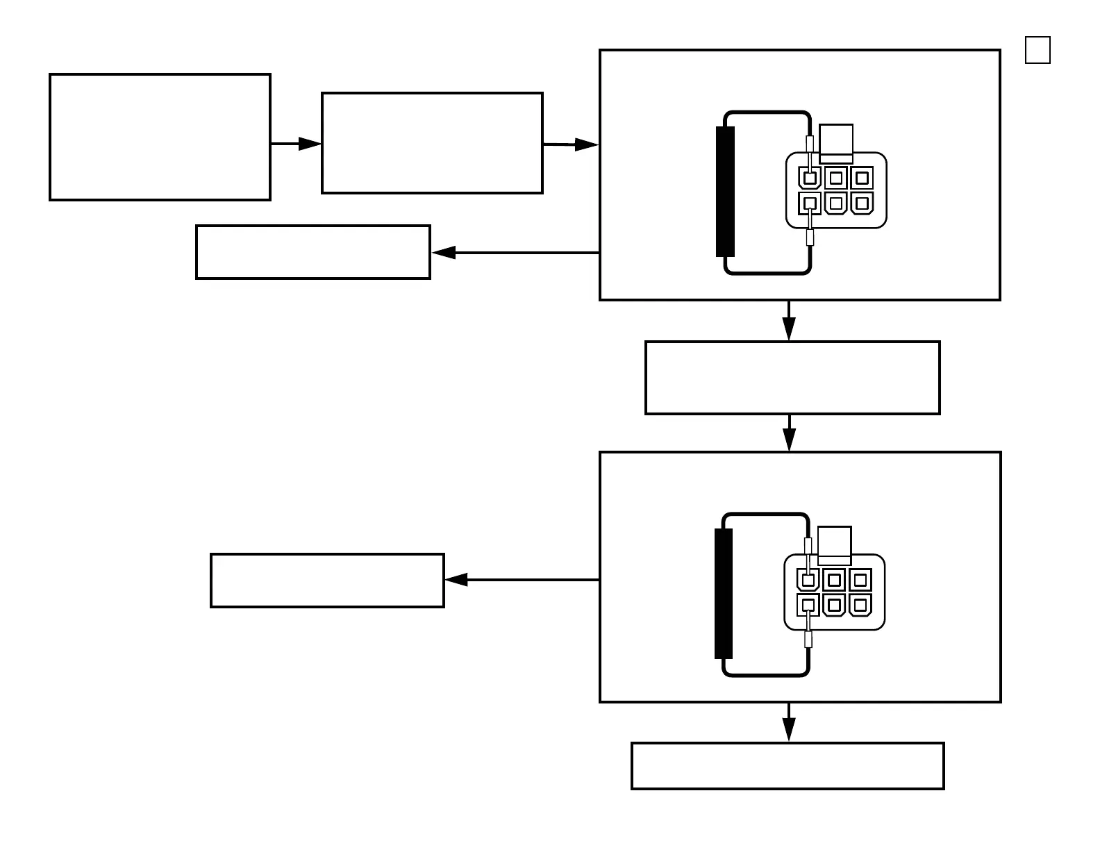
BUS CABLE EXTENSION CONNECTOR
1 2 3
4 5 6
Measure Voltage
Disconnect the BUS cable
extension connector from the
BUS cable.
0VDC
Replace the BUS cable exten-
sion and retest the system.
GREATER THAN 0VDC
Reconnect the BUS cable extension to
the BUS cable, then disconnect the joy-
stick cable from the BUS cable.
BUS CABLE CONNECTOR
1 2 3
4 5 6
Measure Voltage
GREATER THAN 0VDC
Replace the NE, NE+, or Q-Logic joystick
and retest the system.
0VDC
Replace the BUS cable and
retest the system.
7

Related product manuals