EasyManua.ls Logo

ProLights MOBY40 - Page 23

ProLights MOBY40
Print Icon
To Next Page IconTo Next Page
To Next Page IconTo Next Page
To Previous Page IconTo Previous Page
To Previous Page IconTo Previous Page
Loading...
23
MOBY40
REST
Selezionare la funzione [REST] per ripristinare i valori di default. Per eseguire l’operazione è necessario
inserire la password.
COLOR
• Selezionando la funzione [COLR] è possibile attivare/disattivare le modalità calibratura colore.
- Quando [RGBW] è selezionato, su RGB =255, 255, 255 il colore è visualizzato come calibrato nella
modalità CAL2 (RGBW). Quando [COLOR] è impostato su [OFF], su RGB =255, 255, 255 il colore non
può essere regolato e l’uscita mostrerà la massima potenza.
- Quando [UC] è selezionato, i colori sono regolati secondo un preset universale standard.
DIMX
Selezionare la funzione [DIMX] per entrare nella modalità dimmer e scegliere e simulare diverse velocità
dimming. In particolare, quando è impostato su [OFF] il dimmer è lineare. [DIM1/2/3/4] rappresentano
invece, i diversi valori di velocità nella modalità non lineare; [DIM1] è il valore più veloce mentre [DIM4]
il più lento.
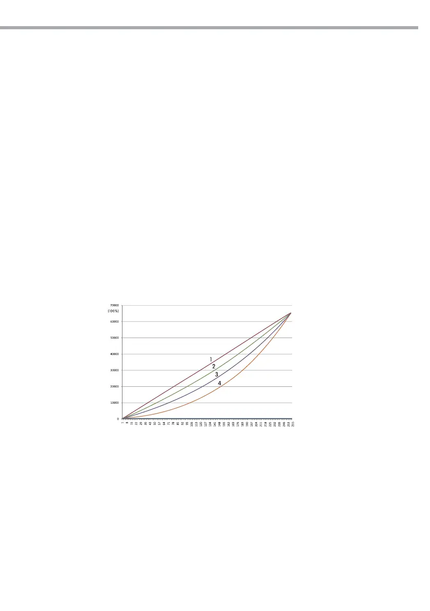
CURV
Selezionare la funzione [CURV] per regolare la forma della curva dimmer; far riferimento al graco ripor-
tato di seguito per la caratteristica di ciascuna curva.
CURV dimming
1: OFF
2: CV1
3: CV3
4: CV4
Fig.14
DERR
Selezionare la funzione [DERR], per la gestione in caso di errore del segnale DMX.
- [SAVE] consente di salvare gli ultimi dati DMX in caso di errore del segnale DMX.
- [BLACK] consente di attivare la modalità blackout in caso di errore DMX.
SLCK
• Selezionando la funzione [SLCK] è possibile attivare o disattivare la password di accesso al menu di
impostazioni.
• Selezionare [ON] o [OFF] a seconda che si voglia, rispettivamente, abilitare o disabilitare la password.
Quando l’unità è impostata su ON, bisognerà immettere la password per accedere al menu impo-
stazioni.

Table of Contents

Related product manuals