EasyManua.ls Logo

ProLights MOBY40 - Page 51

ProLights MOBY40
Print Icon
To Next Page IconTo Next Page
To Next Page IconTo Next Page
To Previous Page IconTo Previous Page
To Previous Page IconTo Previous Page
Loading...
21
MOBY40
CURV dimming
1: OFF
2: CV1
3: CV3
4: CV4
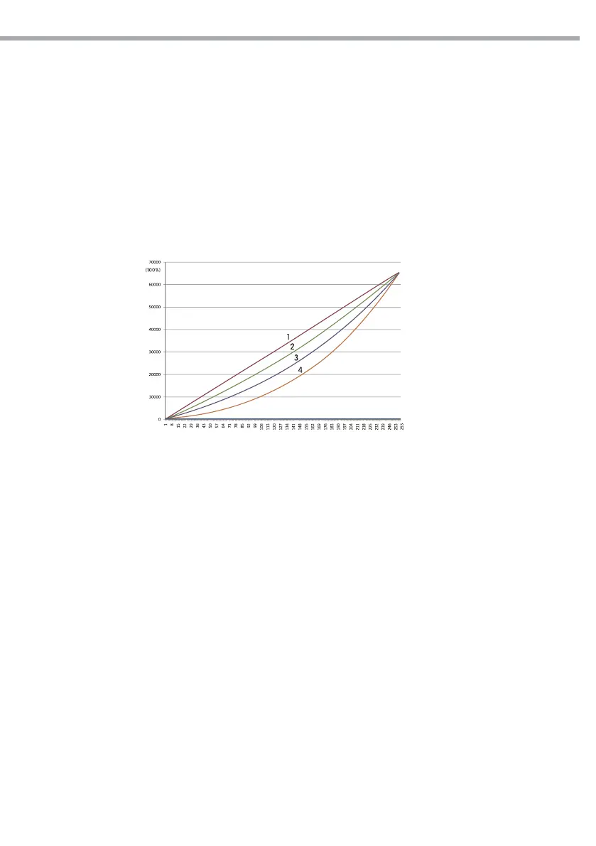
Fig.14
DIMX
• Enter [DIM] to select dimmer mode and dimmer speed. When dimmer is set to [OFF], the RGBW and
MASTER DIMMER are linear. The Dim1/2/3/4 are speed modes of the non linear dimmer, [DIM1] is the
faster, while [DIM4] is the slowest.
NOTE - The factory default setting is [DIM4].
CURV
[CURV] allows the user to adjust the shape of the dimming curve. See the CURV chart to understand
more about actual dimming curves.
DERR
Enter to [DERR] to control in case of DMX signal errors.
- [SAVE] saves the latest data DMX on error DMX signal.
- [BLACK] allows you to activate the mode on error DMX blackout.
SLCK
[SLCK] is used to lock the settings menu. When [SLCK] is set to ON the user must insert passcode (UP +
DOWN + UP + DOWN) in order to access the settings menu.
STRB
This xture allows for two dierent strobe personality settings, [CLAS] strobe or [SPEC] strobe. The [STRB]
settings are only valid in the DMX personalities TOUR, AR2.S and TR16.
LIFE
• [LIFE] (Battery life); [LONG] for extended battery operation (approx. 12hrs), [NORM] for standard battery
operation (approx.10hrs).

Table of Contents

Related product manuals