EasyManua.ls Logo

ProMinent DULCOTEST - Zulässiger Prozessdruck

ProMinent DULCOTEST
68 pages
Print Icon
To Next Page IconTo Next Page
To Next Page IconTo Next Page
To Previous Page IconTo Previous Page
To Previous Page IconTo Previous Page
Loading...
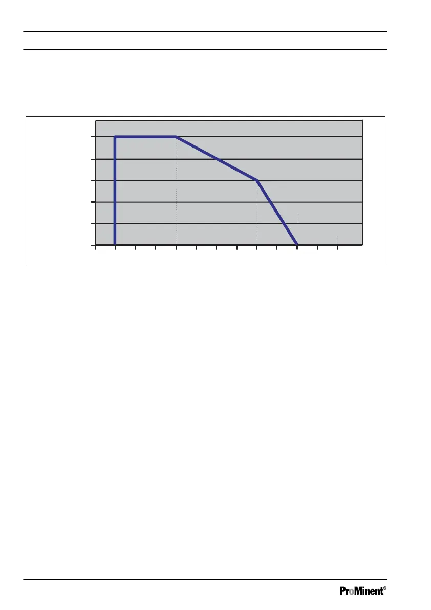
9.3 Zulässiger Prozessdruck
Temperatur, Druck und Messmedium beeinflussen die Lebensdauer des Sensors.
0
8
0
4
2
10
50403020
10
0-10 60 70 80
I
II
A2624
Abb. 9: Zulässiger Prozessdruck Typ ICT 5 montiert in PP-Rohrleitungen
I Druck in bar.
II Temperatur in °C.
Technische Daten
64

Related product manuals