EasyManua.ls Logo

Quectel EG91-NAXD - 8.2. Manufacturing and Soldering

Quectel EG91-NAXD
109 pages
Print Icon
To Next Page IconTo Next Page
To Next Page IconTo Next Page
To Previous Page IconTo Previous Page
To Previous Page IconTo Previous Page
Loading...
LTE Standard Module Series
EG91 Series Hardware Design
EG91_Series_Hardware_Design 97 / 106
1.
1)
This floor life is only applicable when the environment conforms to IPC/JEDEC J-STD-033.
2. To avoid blistering, layer separation and other soldering issues, it is forbidden to expose the modules
to the air for a long time. If the temperature and moisture do not conform to IPC/JEDEC J-STD-033 or
the relative moisture is over 60%, It is recommended to start the solder reflow process within 24 hours
after the package is removed. And do not remove the packages of tremendous modules if they are not
ready for soldering.
3. Please take the module out of the packaging and put it on high-temperature resistant fixtures before
the baking. If shorter baking time is desired, please refer to IPC/JEDEC J-STD-033 for baking
procedure.
8.2. Manufacturing and Soldering
Push the squeegee to apply the solder paste on the surface of stencil, thus making the paste fill the
stencil openings and then penetrate to the PCB. The force on the squeegee should be adjusted properly
so as to produce a clean stencil surface on a single pass. To ensure the module soldering quality, the
thickness of stencil for the module is recommended to be 0.13–0.15 mm. For more details, please refer to
document [4].
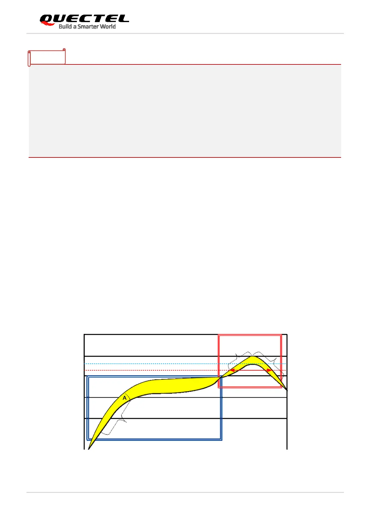
It is suggested that the peak reflow temperature is 238
246 ºC, and the absolute maximum reflow
temperature is 246 ºC. To avoid damage to the module caused by repeated heating, it is strongly
recommended that the module should be mounted after reflow soldering for the other side of PCB has
been completed. The recommended reflow soldering thermal profile (lead-free reflow soldering) and
related parameters are shown below.
Temp. (°C)
Reflow Zone
Soak Zone
246
200
220
238
C
D
B
A
150
100
Max slope: 1 to 3°C/s
Cooling down slope:
-1.5 to -3°C/s
Max slope:
2 to 3°C/s
Figure 48: Recommended Reflow Soldering Thermal Profile
NOTES

Table of Contents

Related product manuals