EasyManua.ls Logo

RMF Systems CMS 2 - Page 27

Default Icon
84 pages
Print Icon
To Next Page IconTo Next Page
To Next Page IconTo Next Page
To Previous Page IconTo Previous Page
To Previous Page IconTo Previous Page
Loading...
26
As a policy of continual improvement, RMF reserves the right to alter the specification without prior notice.
201.028 REV 1 Date of Issue: 18 June 2018
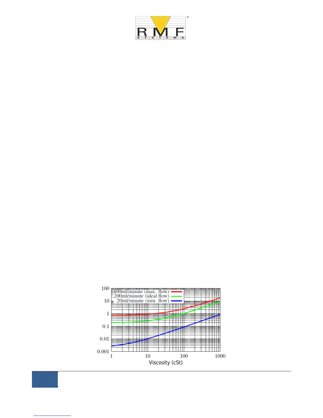
Use the figure 6.11 to look up the pressure drop, across the CMS ports, at this flow rate and viscosity. E.g.
at 30cSt and 200ml/minute, this is 0.4 Bar. The maximum and minimum allowed differential pressures
can also be determined using the 400ml/min and 20ml/min lines, respectively.
Determine the additional pressure drop caused by the piping used to connect the CMS. This may be
negligible for 1/4 inch piping and over, but is very important for microbore hoses. This information can be
found in the manufacturers catalogues. In the case of microbore hoses, at 30 cSt these have a pressure
drop of around 10 Bar per meter per lpm of flow. So a 2m total hose length would add a pressure drop of
2 × 10 × 0.2 = 4 Bar. (So in this case the pressure-flow relationship is mainly dependent on hose
resistance).
Add the CMS pressure drop to that of the hoses, e.g. 4 + 0.4 = 4.4 Bar
When the required pressure drop has been found:
See the figures at the start of this section for examples of where the CMS could be connected
If there is a pair of connections in the hydraulic circuit that operates with a differential pressure near to
that calculated, then the CMS can be connected there
Alternatively, create the pressure drop by modifying the hydraulic system. For example, insert a check-
valve in the circuit with a 4 bar spring. The "component’’ could also be a filter, a restrictor or even a piece
of piping if it has a suitable pressure drop across it.
If none of these options is feasible, then an active flow controller will likely be needed, see 6.1.2.3.
Otherwise connect the CMS across the points identified; taking care to maintain an upward flow of oil
through the unit (this reduces trapped air).
Of course in a real system the pressure and viscosity will vary with temperature and operating conditions. But
since the working flow range of the CMS is very wide, this should not be a problem provided it remains within
range. On the graph the area between upper and lower lines represents the usable operating region for the CMS,
with the middle line being ideal. The differential pressure and the viscosity can vary from the ideal, provided the
system stays within the upper and lower lines. This ensures the flow stays within the working range of 20 - 400
ml/min. It can be seen that the unit will accommodate a 20:1 variation in either viscosity or differential pressure
during operation.

Table of Contents