EasyManua.ls Logo

Samsung WALL MOUNTED TYPE - Page 17

Samsung WALL MOUNTED TYPE
139 pages
Print Icon
To Next Page IconTo Next Page
To Next Page IconTo Next Page
To Previous Page IconTo Previous Page
To Previous Page IconTo Previous Page
Loading...
17
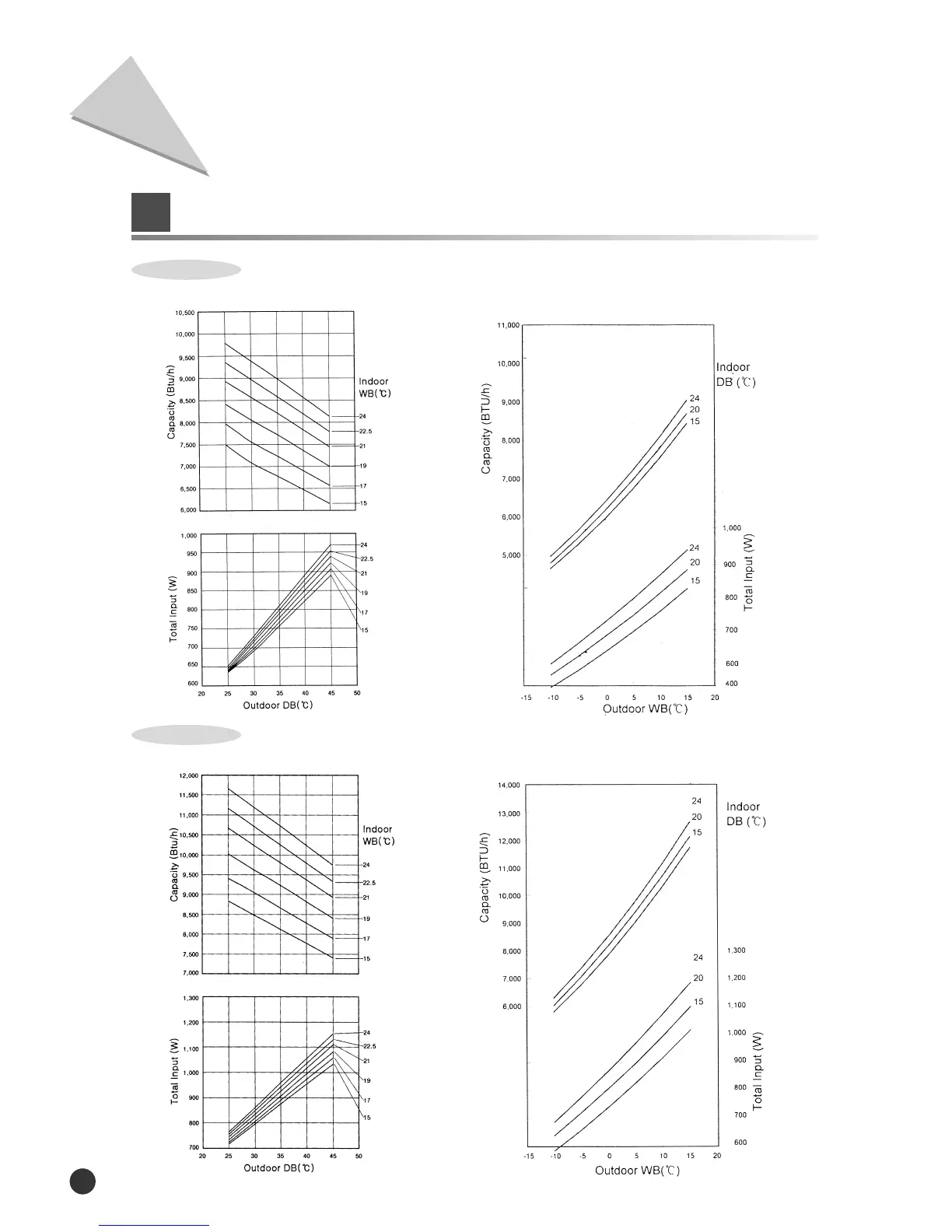
Performance Data
<Cooling> <Heating>
<Cooling> <Heating>
Performance Data
1
Capacity
1
7,000BTU
9,000BTU
00150A(2)-1~36 2/5/01 11:40 AM Page 17

Related product manuals