EasyManua.ls Logo

Samsung WALL MOUNTED TYPE - Page 28

Samsung WALL MOUNTED TYPE
139 pages
Print Icon
To Next Page IconTo Next Page
To Next Page IconTo Next Page
To Previous Page IconTo Previous Page
To Previous Page IconTo Previous Page
Loading...
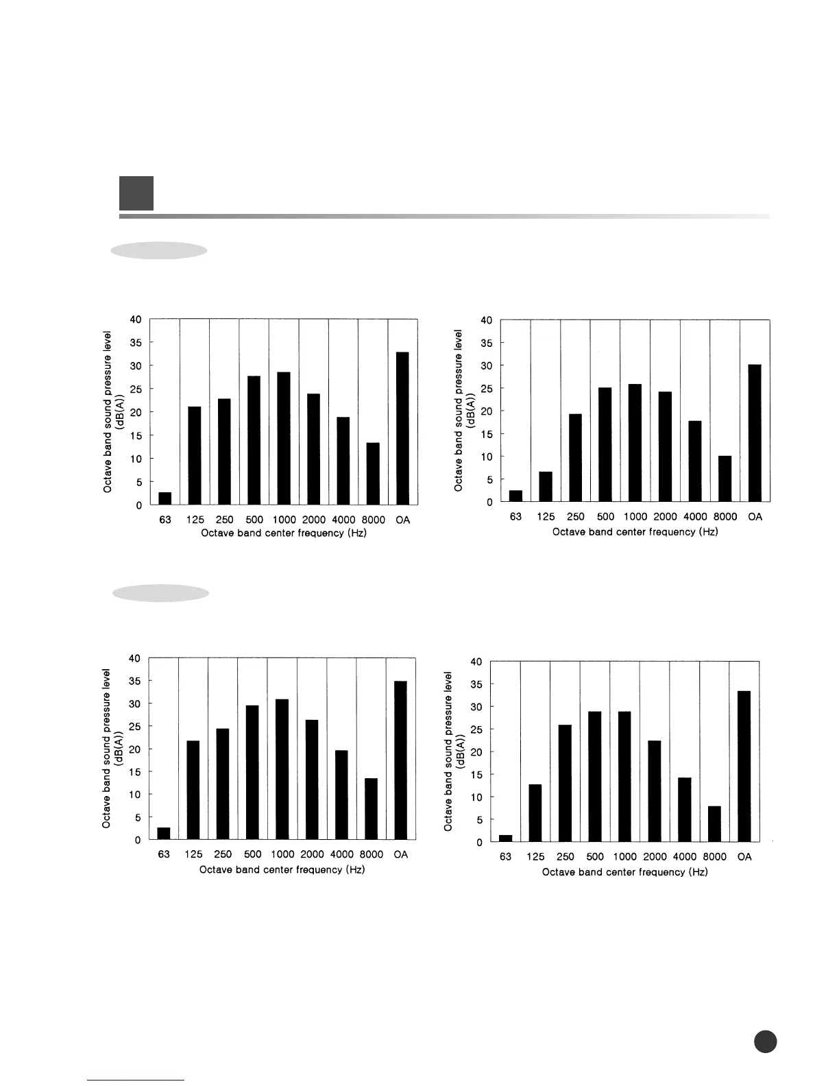
<Cooling>
<Heating>
<Cooling>
<Heating>
“B/D” Type Noise Level Histogram(Indoor Unit)
2
7,000BTU
9,000BTU
28
Performance Data
00150A(2)-1~36 2/5/01 11:41 AM Page 28

Related product manuals