EasyManua.ls Logo

Samsung WALL MOUNTED TYPE - Page 32

Samsung WALL MOUNTED TYPE
139 pages
Print Icon
To Next Page IconTo Next Page
To Next Page IconTo Next Page
To Previous Page IconTo Previous Page
To Previous Page IconTo Previous Page
Loading...
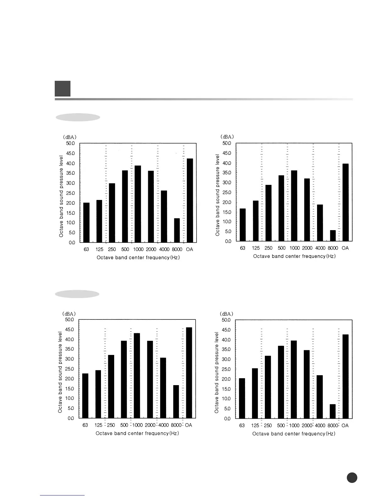
<Heating>
Performance Data
32
18,000BTU
24,000BTU
Noise Level Histogram(Indoor Unit)
6
<Cooling> <Heating>
<Cooling> <Heating>
00150A(2)-1~36 2/5/01 11:42 AM Page 32

Related product manuals