EasyManua.ls Logo

Shini SAL-430 - Loading Capacity

Shini SAL-430
29 pages
Print Icon
To Next Page IconTo Next Page
To Next Page IconTo Next Page
To Previous Page IconTo Previous Page
To Previous Page IconTo Previous Page
Loading...
8(29)
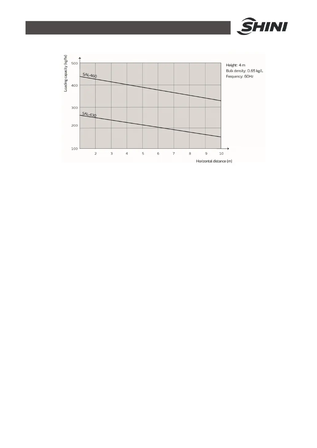
1.3.2 Loading Capacity
Picture 1-2: Loading Capacity

Related product manuals