EasyManua.ls Logo

SICK Ranger E - Page 75

SICK Ranger E
124 pages
Print Icon
To Next Page IconTo Next Page
To Next Page IconTo Next Page
To Previous Page IconTo Previous Page
To Previous Page IconTo Previous Page
Loading...
Reference Manual Chapter 7
Ranger E/D
©SICK AG • Advanced Industrial Sensors • www.sick.com • All rights reserved 75
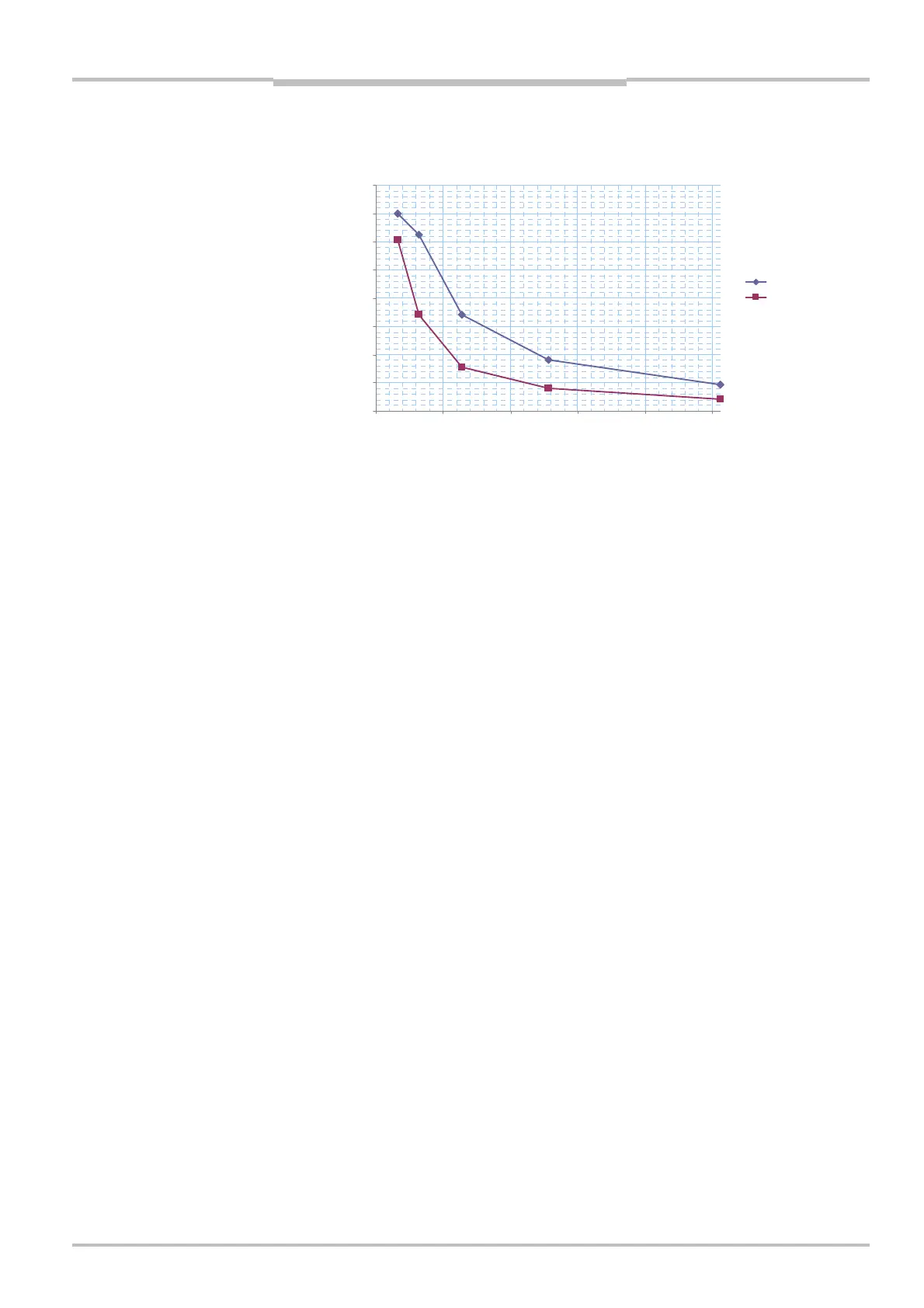
Ranger E Parameters
HorThr Maximum Profile Speed
0
5000
10000
15000
20000
25000
30000
35000
40000
0 100 200 300 400 500
Number of rows
Profiles per second
1 threshold
2 thresholds

Table of Contents

Related product manuals