EasyManua.ls Logo

Siemens 7ML5670 - LC300 Standard, Extended Rod, and Cable Versions, en Flanged

Siemens 7ML5670
58 pages
Print Icon
To Next Page IconTo Next Page
To Next Page IconTo Next Page
To Previous Page IconTo Previous Page
To Previous Page IconTo Previous Page
Loading...
Technical references
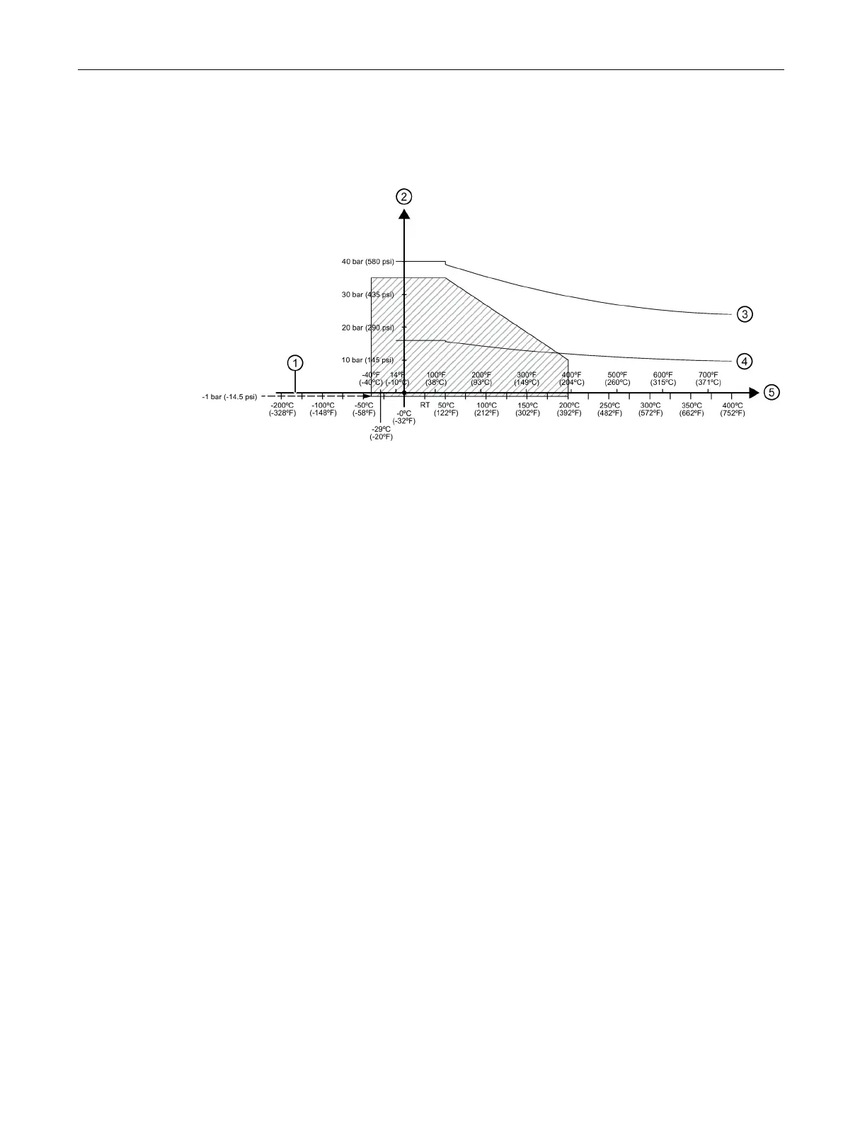
A.3 SITRANS LC300 Pressure versus temperature curves
SITRANS LC300
Operating Instructions, 05/2021, A5E47904073-AA
53
A.3.3 LC300 Standard, extended rod, and cable versions, EN flanged
Atmospheric
P = Permitted Operating Pressure
PN 40
1)
PN 16
1)
T = Permitted Operating Temperature
1)
The curve denotes the minimum allowable flange class for the shaded area below.

Table of Contents