EasyManua.ls Logo

Siemens LMV50 series

Siemens LMV50 series
327 pages
To Next Page IconTo Next Page
To Next Page IconTo Next Page
To Previous Page IconTo Previous Page
To Previous Page IconTo Previous Page
Loading...
188/327
Building Technologies Basic Documentation LMV5... CC1P7550en
9 Commissioning instructions for the LMV5 22.05.2018
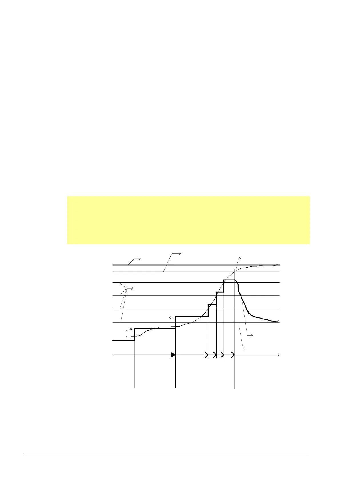
When the cold start thermal protection function is activated, a boiler – after having
dropped below a predefined switch-on threshold – is heated up in multistage operation.
This approach ensures that when cold, the boiler does not have to satisfy the maximum
request for heat within a very short period of time. Thermal strain on the boiler will thus
be prevented.
The cold start sequence is activated when, upon startup, the actual value lies below the
switch-on threshold. When cold start thermal shock protection is activated, the
manipulated variable – upon cold start – is increased in a stepwise fashion using the
adjusted output step (or the next stage is switched on).
The load is increased by one load step (15% in the example below):
1. as soon as the actual temperature has increased by the set setpoint step (in the
example below, by 5% = 4°)
2. or if this temperature increase was not reached by the end of the set maximum
time.
When the switch-off threshold is reached, the cold start sequence is ended and normal
control operation started.
Modulating burner with pressure control
For the output step, any output value in % can be predefined. 100% divided by the
output step gives the number of possible steps.
Parameters: Shock protection on/off ColdStartOn Activated
Shock protection activation level ThresholdOn 40% of setpoint
Output step (only for modulating
operation)
StageLoad 15% of burner output
Setpoint step modulating StageStep_Mod 10% of setpoint
Max. time modulating per step MaxTmeMod 5 minutes
Shock protection deactivation level ThresholdOff 80% of setpoint
Spacing of temperature lines
corresponds to the setpoint steps
from the actual setpoint, e.g. 10 % = 1 bar
Manipulated
variable
Actual value
Setpoint
Threshold OFF
Threshold ON
Load steps
e.g. 15 %
7550d30E/0502
10 bar = 100 %
8 bar = 80 %
7 bar
6 bar
5 bar
4 bar = 40 %
Load 85 %
Load 70 %
Load 55 %
Load 40 %
Burner start at
low-fire, e.g. 25 %
1. 2.
Burner off,
actual value
below
threshold ON.
Burner will be
switched on
Setpoint step not reached,
but max. time exceeded.
Therefore, increase of
manipulated variable by
load step,
e.g. MaxTmeMod = 5 min.
Setpoint step is reached
before max. time has elapsed.
Increase of manipulated variable
by load step.
Actual value reached.
Threshold OFF
Change to control
Figure 85: Cold start thermal shock protection
Cold start thermal shock
protection (CSTP)
Description
Example

Table of Contents

Other manuals for Siemens LMV50 series

Related product manuals