EasyManua.ls Logo

Sime METRO - Page 14

Sime METRO
Print Icon
To Next Page IconTo Next Page
To Next Page IconTo Next Page
To Previous Page IconTo Previous Page
To Previous Page IconTo Previous Page
Loading...
12
minima di modulazione per poi riportar-
si al valore di pressione riscaldamento
impostato. Con l’inserimento del ponte
si annulleranno sia la sosta tecnica pro-
grammata che il periodo di funziona-
mento alla pressione minima nella fase
di partenza. In tal caso, i tempi che
intercorrono tra lo spegnimento e le
successive accensioni saranno in funzio-
ne di un differenziale di C rilevato
dalla sonda riscaldamento (SM).
ATTENZIONE: Tutte le operazioni sopra
descritte dovranno necessariamente
essere eseguite da personale autorizzato,
pena la decadenza della garanzia.
3.2 SONDA RILEVAMENTO
TEMPERATURA
La METRO’ è provvista di una sola sonda
NTC per il controllo della temperatura
riscaldamento. La sonda funge da termo-
stato limite stabilendo lo spegnimento del
bruciatore quando la temperatura rilevata
è superiore a 85°C; la temperatura di riar-
mo è fissata a 80°C. Con sonda (SM)
interrotta la caldaia non funziona in
entrambi i servizi. Riportiamo nella Tabella
3 i valori di resistenza () che si ottengono
sulla sonda al variare della temperatura.
3.3 ACCENSIONE ELETTRONICA
L'accensione e rilevazione di fiamma è
controllata da un unico elettrodo posto sul
bruciatore che garantisce la massima si-
curezza con tempi di intervento, per spe-
gnimenti accidentali o mancanza gas, en-
tro un secondo.
3.3.1 Ciclo di funzionamento
Ruotare la manopola del commutatore in
estate o inverno rilevando dall'accensione
del led la presenza di tensione.. L'accensio-
ne del bruciatore avviene entro 10 secondi
max. Si potranno manifestare mancate ac-
censioni con conseguente attivazione del se-
gnale di blocco dell'apparecchiatura che
possiamo così riassumere:
Mancanza di gas
L'elettrodo di accensione persiste nella
scarica per 10 sec. max, non verificando-
si l’accensione del bruciatore l’apparec-
chiatura va in blocco.
Si può manifestare alla prima accensione
o dopo lunghi periodi di inattività con pre-
senza d'aria nella tubazione.
Può essere causata dal rubinetto gas
chiuso o da una delle bobine della valvola
che presenta l'avvolgimento interrotto
non consentendone l'apertura.
L'elettrodo non emette la scarica
Nella caldaia si nota solamente l'apertura
del gas al bruciatore, trascorsi 10 sec. si
accende la spia di blocco.
Può essere causato dal fatto che il cavo
dell'elettrodo risulta interrotto o non è
ben fissato al morsetto del trasformato-
re d’accensione. L'elettrodo è a massa o
fortemente usurato necessita sostituirlo.
La scheda elettronica è difettosa.
Per mancanza improvvisa di tensione si ha
l'arresto immediato del bruciatore, al ripri-
stino della tensione la caldaia si rimetterà
automaticamente in funzione.
3.4 DISPOSITIVO FUMI “25 OF”
È una sicurezza contro il reflusso dei fumi in
ambiente per inefficienza od otturazione
parziale della canna fumaria (15 fig. 3).
Interviene bloccando il funzionamento della
valvola gas quando il rigetto dei fumi in
ambiente è continuo, e in quantità tali da
renderlo pericoloso. Per ripristinare il fun-
zionamento della caldaia riarmare il pulsan-
te del termostato. Qualora dovesse ripeter-
si in continuazione il blocco della caldaia
sarà necessario effettuare un attento con-
trollo alla canna fumaria, apportando tutte
le modifiche e gli accorgimenti necessari
perché possa risultare efficiente.
Dopo ogni
intervento effettuato sul dispositivo verificar-
ne il corretto funzionamento. In caso di sosti-
tuzione usare solo ricambi originali Sime.
NOTA: E’ vietato mettere fuori servizio il
dispositivo.
3.5 PRESSOSTATO FUMI “25 BF”
Il pressostato a taratura fissa (4,5-6 mm
H
2
O) è in grado di garantire la funzionalità
della caldaia anche con tubazioni di aspira-
zione e scarico al limite massimo di lun-
ghezza consentita (9 fig. 3). Impurità e pos-
sibili formazioni di condensa, probabili nei
periodi più freddi della stagione, potrebbero
causare mancate partenze della caldaia.
3.6 SICUREZZA MANCANZA
CIRCOLAZIONE ACQUA
La caldaia è fornita con flussostato (8 fig.
6) che interviene, bloccando il funziona-
mento del bruciatore, qualora non rilevi
circolazione d’acqua nel circuito primario
(> 400 l/h).
Per ripristinare il funzionamento del bru-
ciatore verificare la pressione impianto, il
funzionamento della pompa e quello del
flussostato.
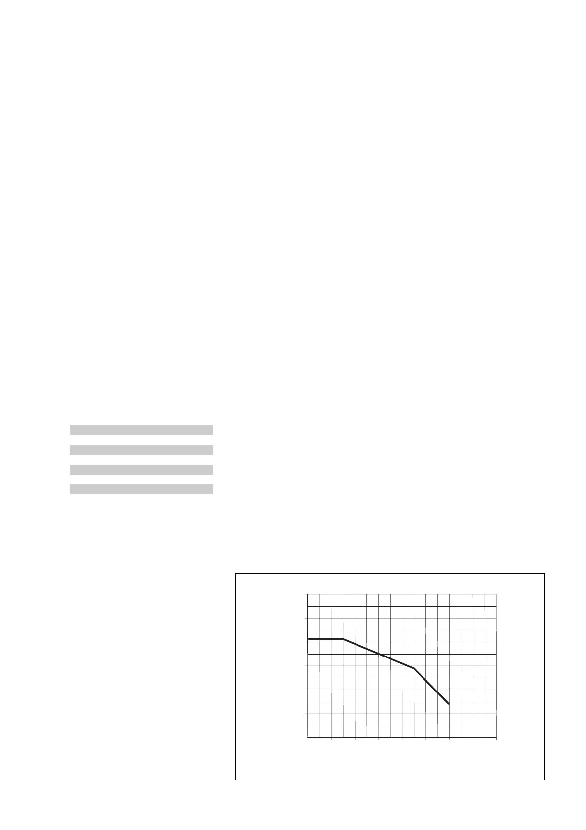
3.7 PREVALENZA DISPONIBILE
ALL’IMPIANTO
La prevalenza residua per l’impianto di
riscaldamento è rappresentata, in funzione
della portata, dal grafico di fig. 20.
3.8 OROLOGIO
PROGRAMMATORE
OPTIONAL (fig. 21)
Il pannello di comando consente l'utilizzo di
un orologio programmatore per la gestione
del riscaldamento, fornito a richiesta nel kit
cod. 8092203.
Per effettuare il montaggio dell’orologio
programmatore togliere dal pannello
comando il copriforo per l’alloggiamento e,
a cruscotto aperto, fissare l’orologio al pan-
nello con le viti fornite a corredo.
Togliere il faston che collega il morsetto 3
TABELLA 3
Temperatura (°C) Resistenza ()
20 12.090
30 8.313
40 5.828
50 4.161
60 3.021
70 2.229
80 1.669
0
600
200
1600
1400
1200
1000800600400
PORTATA (l/h)
PREVALENZA RESIDUA (mbar)
500
400
100
200
300
Metrò
Fig. 20

Related product manuals