EasyManua.ls Logo

Sime METRO - Page 61

Sime METRO
Print Icon
To Next Page IconTo Next Page
To Next Page IconTo Next Page
To Previous Page IconTo Previous Page
To Previous Page IconTo Previous Page
Loading...
Para cada acendimento, depois do perío-
do de acendimento lento, o aparelho,
colocar-se-á, durante aprox. 1 minuto á
pressão mínima de modulação para
depois mudar para o valor de pressão de
aquecimento seleccionado. Colocando a
ponte anula-se a pausa técnica progra-
mada e o período de funcionamento á
pressão mínima na fase de partida.
Neste caso, os tempos entre o apaga-
mento e as sucessivas acensões, serão
em função de uma diferença de C
detectada pela sonda aquecimento (SM).
ATENÇÃO: Todas as operações descritas
devem necessariamente ser executadas
por pessoal autorizado.
3.2 SONDA TEMPERATURA
As caldeiras “METRÒ” estão equipadas
com uma sonda para a deteção da tempe-
ratura. A sonda tem a função de termósta-
to limite fixando o apagamento do queima-
dor quando a temperatura detectada é
superior a 85°C; a temperatura de resta-
belecimento está fixada a 80°C.
Com a sonda aquecimento (SM) interrom-
pida, a caldeira não funciona em ambos os
serviços. A Tabela 3 indica os valores de
resistência () da sonda em função da
variação da temperatura.
3.3 ENCENDIDO ELECTRÓNICO
A acensão e revelação de chama é contro-
lada por um único eléctrodo situado no
queimador que garante a máxima segu-
rança com tempos de intervenção de um
segundo em caso de falta de gás ou apa-
gamento acidental.
3.3.1 Ciclo de funcionamento
Rode o manípulo do selector sobre verão ou
inverno detectando, através do acendimen-
to do led, a presença de tensão.
O acendimento do queimador deverá dar-se
dentro de 10 segundos.
Podem verificar-se não-acendimentos com
conseguinte activação do sinal de bloqueio
do aparelho que podem-se definir como:
Falta de gás
O aparelho efectua regularmente o ciclo
enviando tensão ao eléctrodo de acensão
que continua com a descarga durante 10
segundos no máximo; se o queimador
não acender, o aparelho para.
Pode manifestar-se durante a primeira
acensão ou depois de longos periodos de
inactividade com presença de ar na tuba-
gem. Pode acontecer se a torneira do gás
estiver fechada ou uma das bobinas da
válvula apresentar uma interrupção no
enrolamento que não permite a abertura
.
O electrodo de acensão não faísca
Na caldeira nota-se somente a abertura
do gás ao queimador; depois de 10
segundos o aparelho para.
Pode existir uma interrupção no cabo do
eléctrodo ou o cabo não foi bem fixo no
terminal do transformador de acendi-
mento. O eléctrodo está em massa ou
muito gasto e necessita de ser substituí-
do. A placa electrónica é defeituosa.
Se faltar repentinamente a tensão, o quei-
mador apaga-se, quando voltar a tensão, o
aparelho recomeça a funcionar automati-
camente.
3.4 DISPOSITIVO DE SEGURANÇA
FUMOS “25 OF”
É um dispositivo de segurança que impede a
evacuação dos fumos no ambiente devida á
ineficiência ou obturação parcial da conduta
de evacuação dos gases queimados (15 fig.
3). Este sistema de segurança interrompe o
funcionamento da válvula de gás quando a
emissão de fumos no ambiente é contínua e
em quantidade tal que a pode tornar perigo-
sa. Para pôr a caldeira a funcionar novamen-
te, rearme o botão do termóstato. Se o apa-
relho parar repetidamente, será necessário
efectuar um controle minuncioso da conduta,
fazendo todas as modificações necessárias
para que possa funcionar de maneira eficien-
te. Depois de todas as intervenções efectua-
das no dispositivo verifique se es a funcio-
nar bem. Em caso de substituição, usar exclu-
sivamente peças de origem Sime.
NOTA: É proibido desactivar o dispositivo.
3.5
PRESSÓSTATO DE FUMOS “25 BF”
O pressóstato, com calibragem fixa 4,5-6
mm H
2
0, tem a capacidade de garantir o
funcionamento do aparelho mesmo com
tubos de aspiração e evacuação no límite
máximo do comprimento admitido (9 fig. 3).
Impurezas e formações de condensação,
mais prováveis nas alturas mais frias, pode-
riam impedir o funcionamento do pressó-
stato e o não acendimento da caldeira.
3.6 SEGURANÇA PARA FALHA
DE CIRCULAÇÃO DA ÁGUA
A caldeira é equipada com um fluxóstato (8
fig. 6) que intervém e bloqueia o funciona-
mento do queimador, se não detectar circu-
lação de água no circuito primário (> 400
l./h.). Para restabelecer o funcionamento
do queimador, verifique a pressão do sis-
tema, o funcionamento da bomba e o do
fluxóstato.
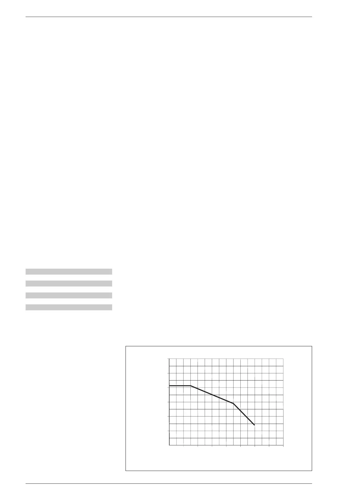
3.7 PREVALÊNCIA DISPONÍVEL
AO APARELHO
A prevalência resídua para o equipamento
de aquecimento, é representada, em
função do caudal, pelo gráfico da fig. 20.
3.8 RELÓGIO
PROGRAMADOR
(a pedido)
O painel de comandos permite a utilização
de un rélogio programador para a gestão
do aquecimento, fornecido a pedido no kit
cód. 8092203.
Para efectuar a montagem, remova do pai-
nel de comando a tampa que cobre o orifí-
cio para o alojamento e, com o painel dos
59
TABELA 3
Temperatura (°C) Resistência ()
20 12.090
30 8.313
40 5.828
50 4.161
60 3.021
70 2.229
80 1.669
0
600
200
1600
1400
1200
1000800600400
PORTATA (l/h)
PREVALENZA RESIDUA (mbar)
500
400
100
200
300
Metrò
Fig. 20
CAUDAL (l/h)
PREVALÊNCIA RESÍDUA (mbar)

Related product manuals