EasyManua.ls Logo

Smitec 3012RA - Page 21

Default Icon
74 pages
Print Icon
To Next Page IconTo Next Page
To Next Page IconTo Next Page
To Previous Page IconTo Previous Page
To Previous Page IconTo Previous Page
Loading...
Servodrives / inverters series COSMOS 301X Installation, use and maintenance manual - EN
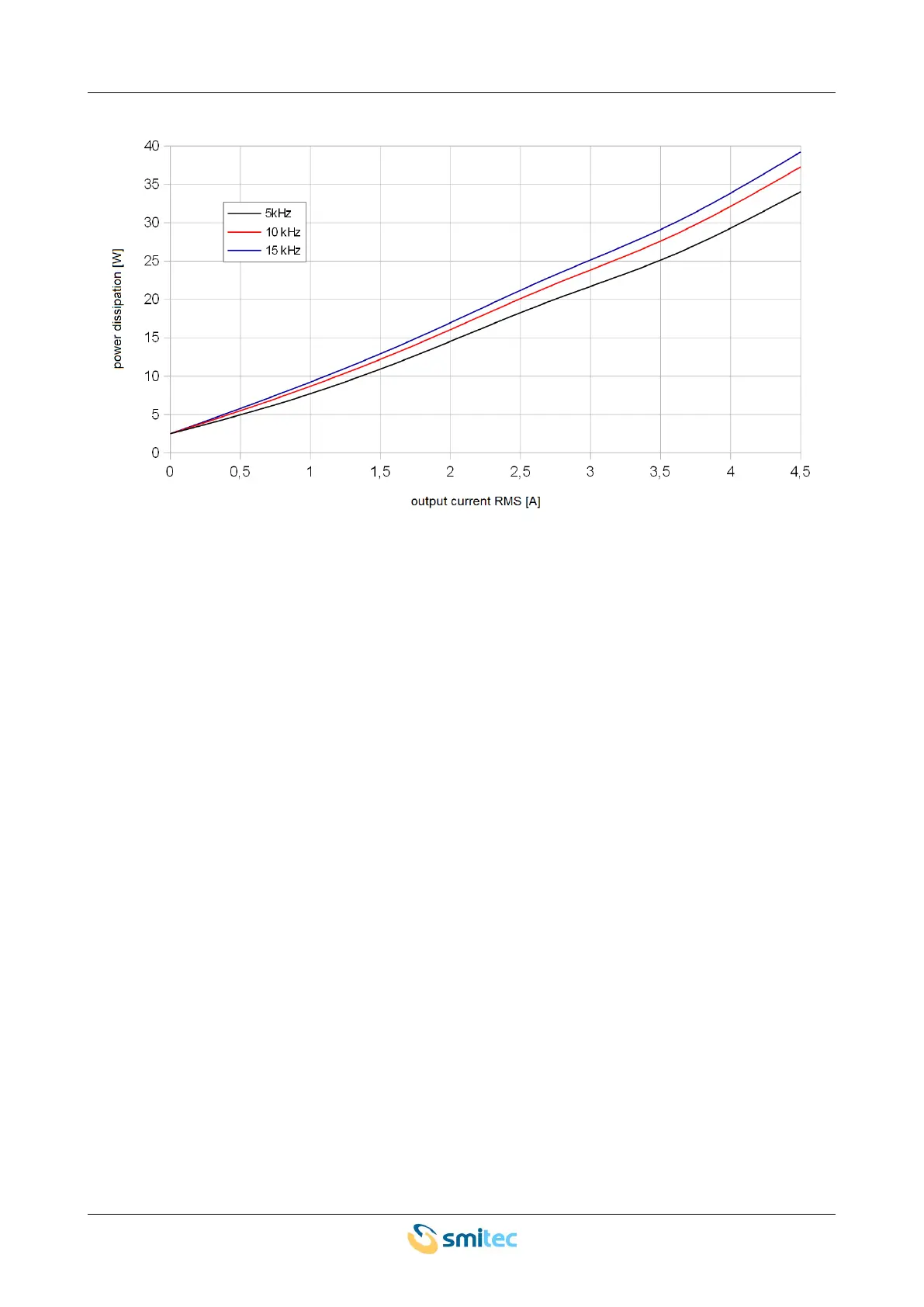
The current that a servo-drive/inverter can supply depends on the ambient temperature; in order to avoid a
reduction in the actual deliverable current, install a cooling system, if necessary.
Ver. 1.09 SMITECdd 21/74

Table of Contents

Related product manuals