EasyManua.ls Logo

STIEBEL ELTRON WPF 04 - Page 71

STIEBEL ELTRON WPF 04
80 pages
To Next Page IconTo Next Page
To Next Page IconTo Next Page
To Previous Page IconTo Previous Page
To Previous Page IconTo Previous Page
Loading...
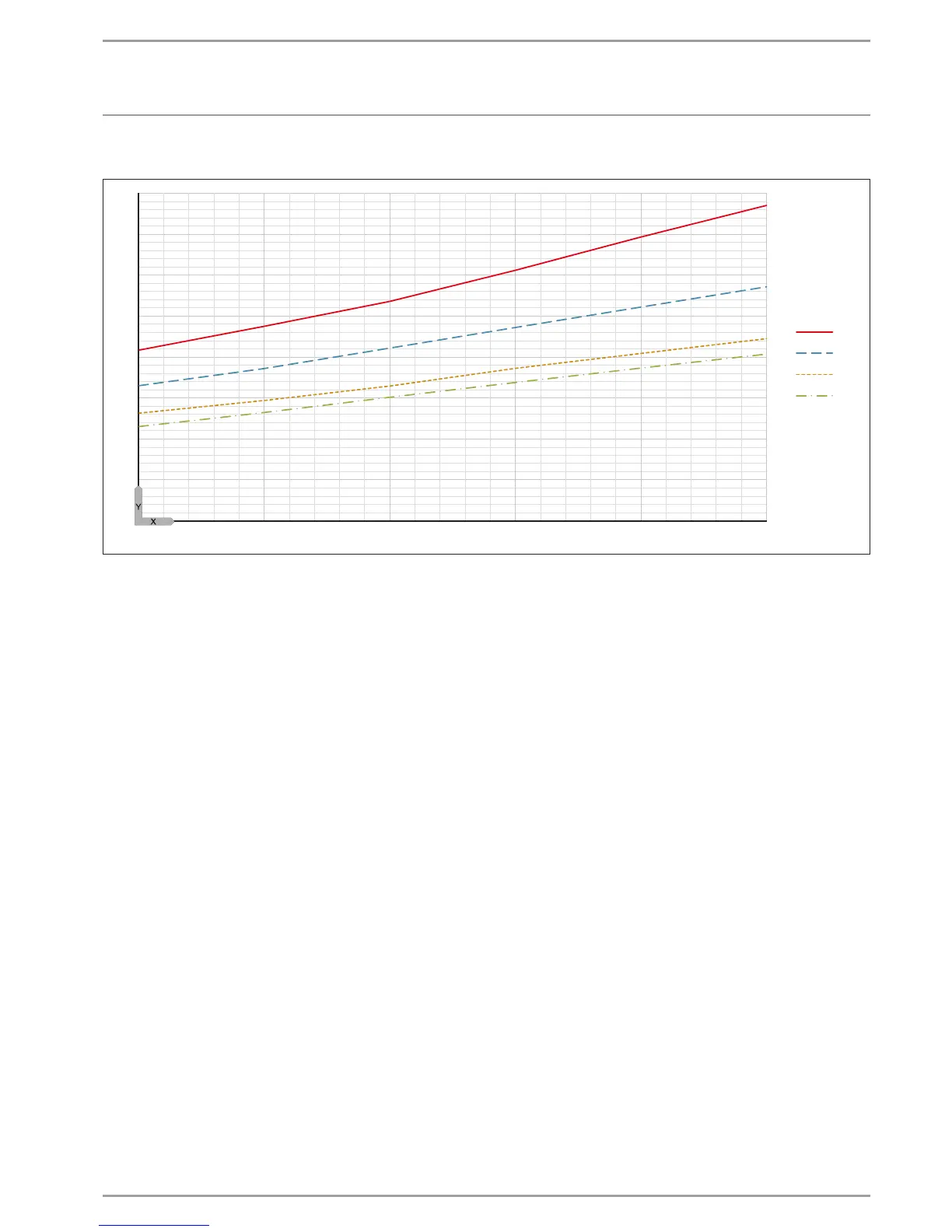
www.stiebel-eltron.com WPF | WPF cool | 71
INSTALLATION
Specication
COP
0
1
2
3
4
5
6
7
8
-5 0 5 10 15 20
1
2
3
4
D0000045000

Table of Contents

Related product manuals