EasyManua.ls Logo

Stryker SERFAS - Page 167

Stryker SERFAS
494 pages
Print Icon
To Next Page IconTo Next Page
To Next Page IconTo Next Page
To Previous Page IconTo Previous Page
To Previous Page IconTo Previous Page
Loading...
165
USCITA RF
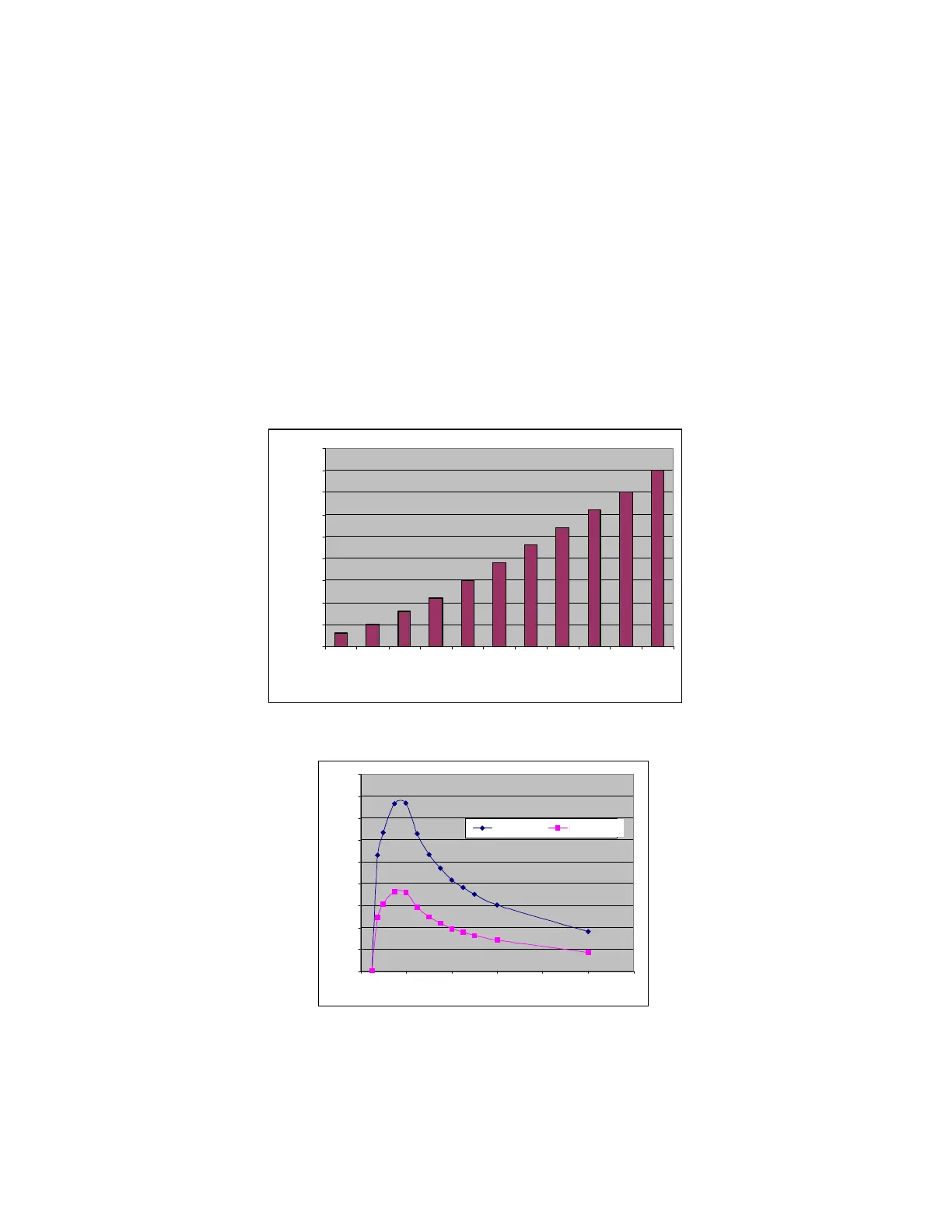
Grafici dell'uscita del generatore
I grafici riportati di seguito illustrano la potenza di uscita ad ogni set point con la
resistenza del carico specificata (come da norma IEC 60601-2-2, sottoclausola 6.8.3).
Figura 6: Potenza di uscita a fronte del set point con carico resistivo di 200 Ohm
Figura 7: Potenza di uscita (CUT) a fronte della resistenza del carico
Forma donda 200 kHz + 5%, onda quadra, fattore di cresta
<1,3 a 200 Ohm
Potenza massima (modalità CUT) 400 Watt a 200 Ohm
Potenza massima (modalità COAG) 90 Watt a 200 Ohm
0
50
100
150
200
250
300
350
400
450
1234567891011
Set Point
Power (Watts)
Potenza RMS (W)
Set point
0
50
100
150
200
250
300
350
400
450
0 200 400 600 800 1000 1200
Load Re sistance (ohms)
RMS Power (W)
Full Setting Half Setting
Resistenza del carico (Ohm)
Potenza RMS (W)
Impostazione
completa
Impostazione
a metà

Table of Contents

Other manuals for Stryker SERFAS

Related product manuals