EasyManua.ls Logo

Taie FA211 - Input Calibration Procedure

Default Icon
66 pages
Print Icon
To Next Page IconTo Next Page
To Next Page IconTo Next Page
To Previous Page IconTo Previous Page
To Previous Page IconTo Previous Page
Loading...
50
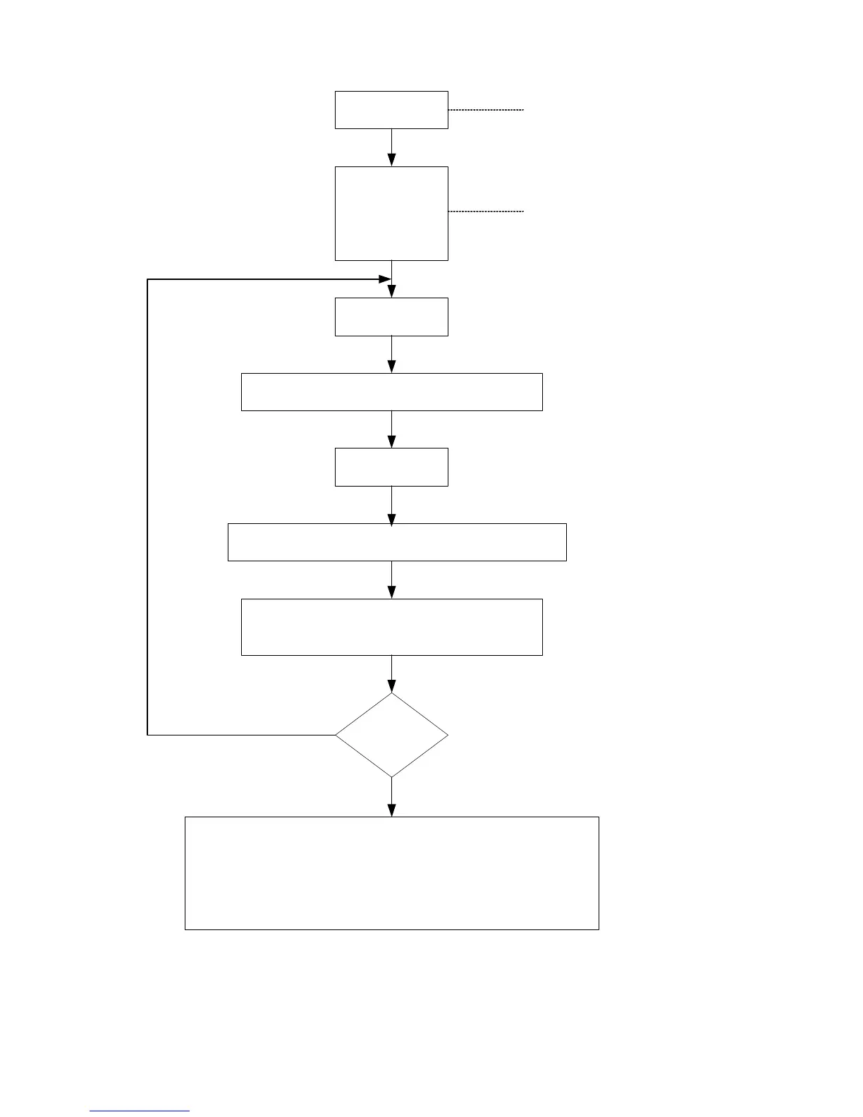
15.3 Calibration
SET 2.2 = 1
ANL1=0
ANH1=5000
LSPL=0
USPL=5000
Adjusts "ANL1" until PV Display = 0
Inputs 4mA
Inputs 20mA
Adjusts "ANH1" until PV Display = 5000
Inputs 4mA to CHECK LOW
Inputs 20mA to CHECK HIGH
OK ?
Set the range you want
LOW =LSPL HIGH =USPL
ExLow = -20.0High = 50.0
SET LSPL = -20.0USPL = 50.0DP000.0
To display ANL1 &
ANH1
at INPUT Level
Return User Level to view
the changing of PV
YES
NO

Table of Contents

Related product manuals