EasyManua.ls Logo

Technics SU-A900DM2 - Cece Eset Erreeresererereeaes

Technics SU-A900DM2
31 pages
Print Icon
To Next Page IconTo Next Page
To Next Page IconTo Next Page
To Previous Page IconTo Previous Page
To Previous Page IconTo Previous Page
Loading...
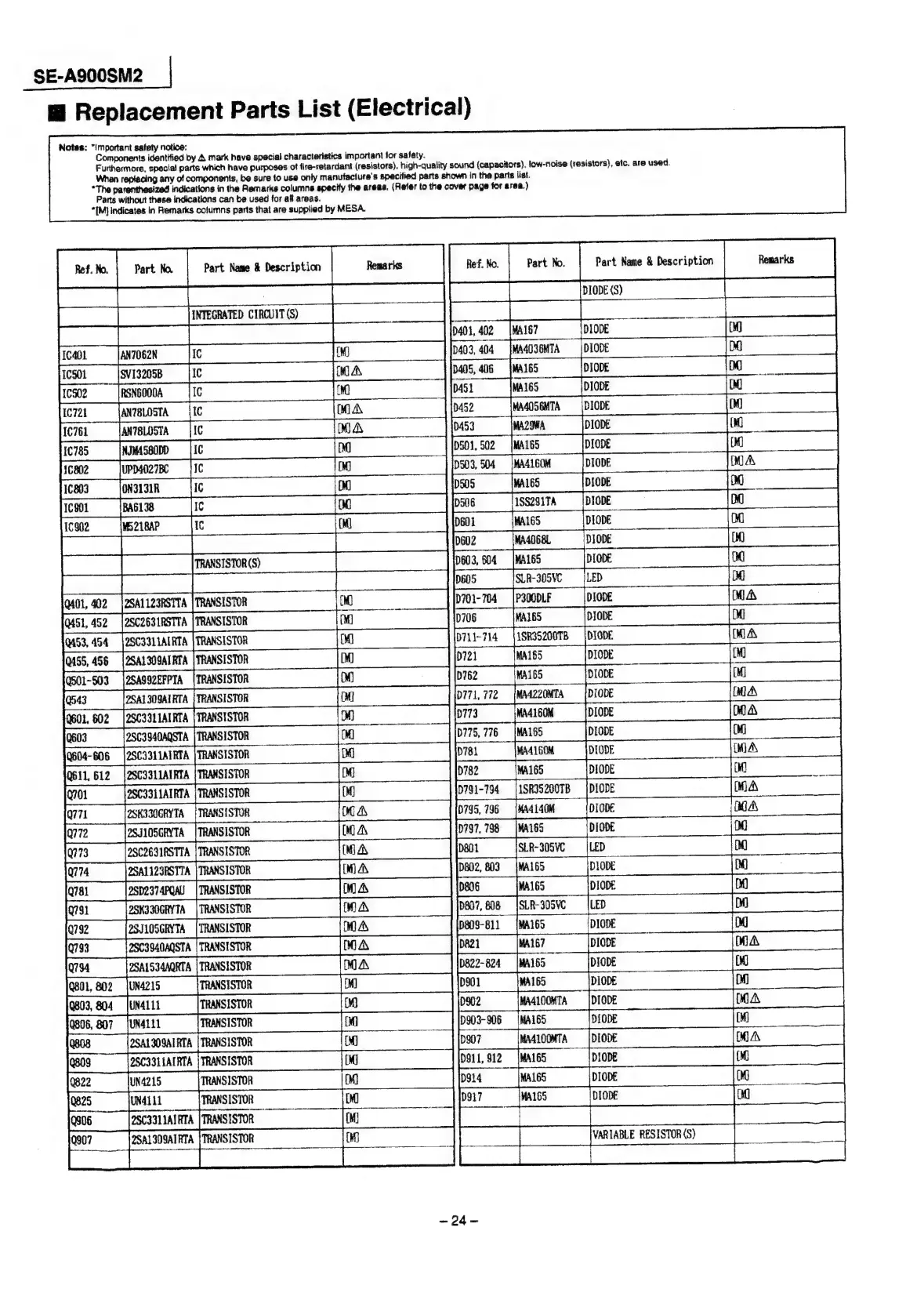
SE-A900SM2
|
m
Replacement
Parts
List
(Electrical)
Notes:
*!mportant
safety
notice:
Componenis
identified
by
A.
mark
have
special
characteristics
important
for
safaty.
Furthermore,
special
parts
which
have
purposes
of
fire-retardant
(resistors),
high-quality
sound
(capacitors),
low-noise
(resistors),
etc.
are
used.
When
replacing
any
of
components,
be
sure
to
use
only
manufacture’'s
specified
parts
shown
in
the
parts
list.
“The
parenthesized
indications
in
the
Remarks
columns
specify
the
areas.
(Refer
to
the
cover
page
for
area.)
Parts
without
these
indications
can
be
used
for
afl
areas.
*[Mj
indicates
In
Remarks
columns
parts
that
are
supplied
by
MESA.
Part
Name
&
Description
Ref.
No.
Part Name
&
Description
Remarks
es
Sn
Part
No.
ee
co
7
Ginn
Gaeees
eee
ica
amen
tS”
oor
sve
e
NS
Te72t
=
{AN7BLOSTA
{IC
f
Wo
icres
juno
io
——SSSSS~=
case
rpaerse
fic
—SSSSCSCSC«*i
|
is
focrmn
ef
iow
ware
eC
psue—(IszeiTA
[ovo
Ca
a
ee
Sa
461,
452
[2SC2631RSTTA
[TRANSISTOR
ic
7
0453,
454
|2SC3311AIRTA
0455,
456
|
2SAL300AIRTA
[TRANSISTOR
Cn
501-503
|2SA992EFPTA
[TRANSISTOR
a
ae
-
(esas
[asaig0garnta
jrmansisToR
=|]
NA4220MTA
xe
soi,
802
[zscaatiarnra
[mavstsTOR
Q603
2SC3940AQSTA
|
TRANSISTOR
D775,
776
|MAL6S
pies
(9604-6068
|2SC3311ATRTA
|
TRANSISTOR
MA4160M
DIODE
(MIAN
ws
D791-794
|
1SRIS200TB
ny
|
&
—~I
|
~~
OD
|
oO
ro
fe
cio
pseetirera
isto
—————_—*
771
_—_—‘(2SK330GRYTA
|
TRANSISTOR
fia
0795,
796
q72
(asmioscryta
[TmansisToR
=
CMA
97,
798
a773__[2SC2631RSTTA
{TRANSISTOR
MA
Dadi
«|
SLR-305¥C
ar
bt,
cial
emer
=
cision
ne
|S
cree
psviosonafmwsisme
(00a
pee
WA
ner
Q794
2SALS34AQRTA
|
TRANSISTOR
cao
foweis
wise
—*d
esa,
dor
fait
resis
a
|
oi
bar
wa
sate
wsisron
fo
=i
Mm
on
ag22———«(UN4215——_—|
TRANSISTOR
(M1
pd
0825
D917
82
UN4111
TRANSISTOR
Me
17
OSCI3BLIAIRTA
|
TRANSISTOR
(Mi
0907
PSAL309AIRTA
(TRANSISTOR
Ca
.
HOR
=
iis
a

Related product manuals