EasyManua.ls Logo

Toastmaster Bread Box 1163 - Page 37

Toastmaster Bread Box 1163
61 pages
Print Icon
To Next Page IconTo Next Page
To Next Page IconTo Next Page
To Previous Page IconTo Previous Page
To Previous Page IconTo Previous Page
Loading...
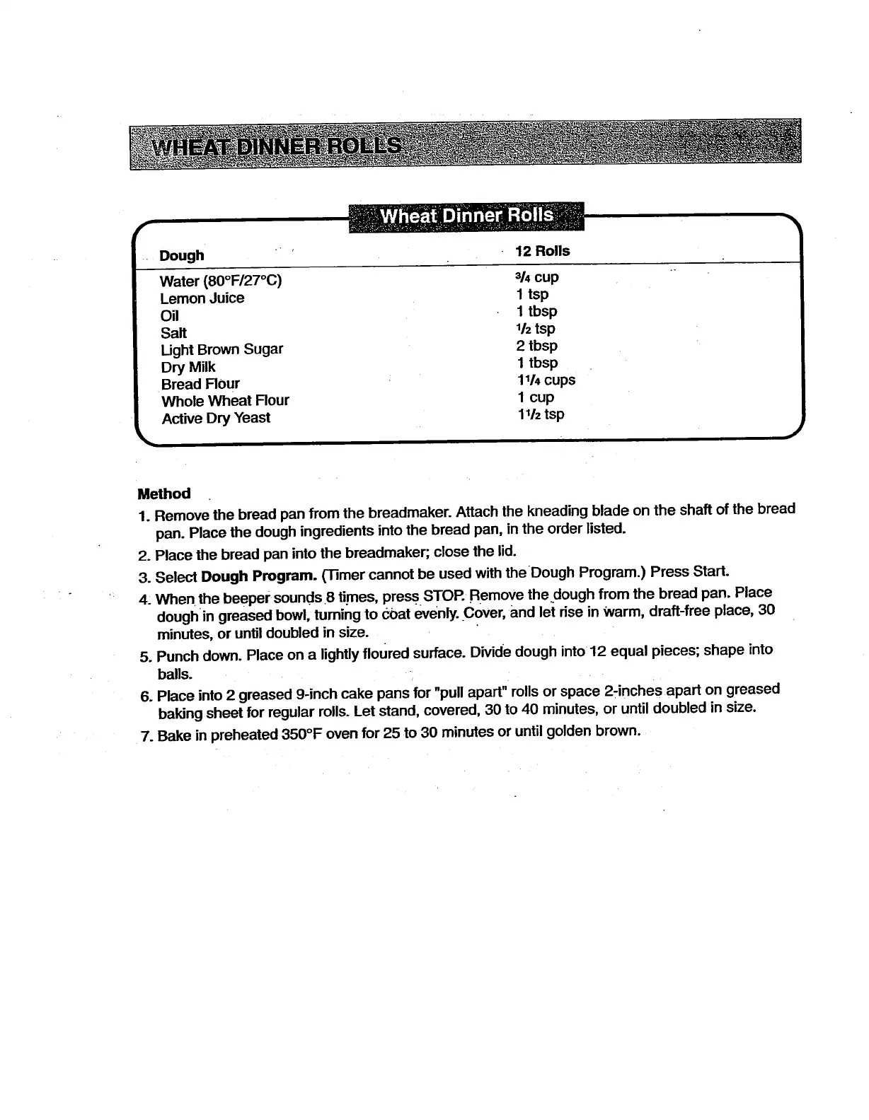
Dough ' 12 Rolls
Water (80°F/27°C) 314cup
Lemon Juice 1 tsp
Oil 1 tbsp
Salt llz tsp
Light Brown Sugar 2 tbsp
Dry Milk 1 tbsp
Bread FlOur 11h cups
Whole Wheat Rour 1 cup
Active Dry Yeast 1Vz tsp
Method
1. Remove the bread pan from the breadmaker. Attach the kneading blade on the shaft of the bread
pan. Place the dough ingredients into the bread pan, in the order listed.
2. Place the bread pan into the breadmaker; close the lid.
3. Select Dough Program. (Timer cannot be used with theDough Program.) Press Start.
4. When the beeper sounds 8 times, press..STOR Remove the dough from the bread pan. Place
dough in greased bowl, turning to Coat evenly. Cover, and let rise in Warm, draft-free place, 30
minutes, or until doubled in size.
5. Punch down. Place on a lightly floured surface. Divide dough into 12 equal pieces; shape into
balls.
6. Place into 2 greased 9-inch cake pans for "pull apart" rolls or space 2-inches apart on greased
baking sheet for regular rolls. Let stand, covered, 30 to 40 minutes, or until doubled in size.
7. Bake in preheated 350°F oven for 25 to 30 minutes or until golden brown.

Related product manuals