EasyManua.ls Logo

Toastmaster Bread Box 1163 - Page 46

Toastmaster Bread Box 1163
61 pages
Print Icon
To Next Page IconTo Next Page
To Next Page IconTo Next Page
To Previous Page IconTo Previous Page
To Previous Page IconTo Previous Page
Loading...
f
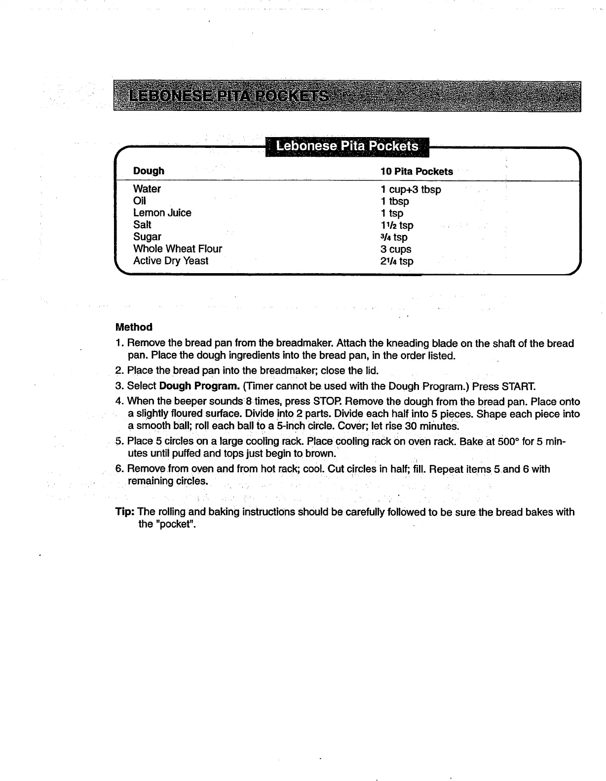
Dough _ _iI10Pita Pockets
Water 1 cup+3 tbsp
Oil 1 tbsp
Lemon Juice 1 tsp
Salt 1112tsp
Sugar 314tsp
Whole Wheat Flour 3 cups
Active Dry Yeast 21/4tsp
,i
Method
1. Remove the bread pan from the breadmaker. Attach the kneading blade on the shaft of the bread
pan. Place the dough ingredients into the bread pan, in the order listed.
2. Place the bread pan into the breadmaker; close the lid.
3. Select Dough Program. (Timer cannot be used with the Dough Program.) Press START.
4. When the beeper sounds8 times, press STOR Remove the dough from the bread pan. Place onto
a slightly floured surface. Divide into 2 parts. Divide each half into 5 pieces. Shape each piece into
a smooth ball; roll each ball to a 5-inch circle. Cover; let rise 30 minutes.
5. Place 5 circles on a large cooling rack. Place cooling rack on oven rack. Bake at 500 ° for 5 min-
utes until puffed and tops just begin to brown.
6. Remove from oven and from hot rack; cool. Cut circles in half; fill. Repeat items 5 and 6 with
remaining circles.
Tip: The rolling and baking instructions should be carefully followed to be sure the bread bakes with
the "pocket".

Related product manuals