EasyManua.ls Logo

Unox MINDMaps CHEFTOP - AM02 - LACK OF COMMUNICATION; (Page 204)

Unox MINDMaps CHEFTOP
216 pages
To Next Page IconTo Next Page
To Next Page IconTo Next Page
To Previous Page IconTo Previous Page
To Previous Page IconTo Previous Page
Loading...

SLOWTOP
NO
End
YES
NO
End
YES
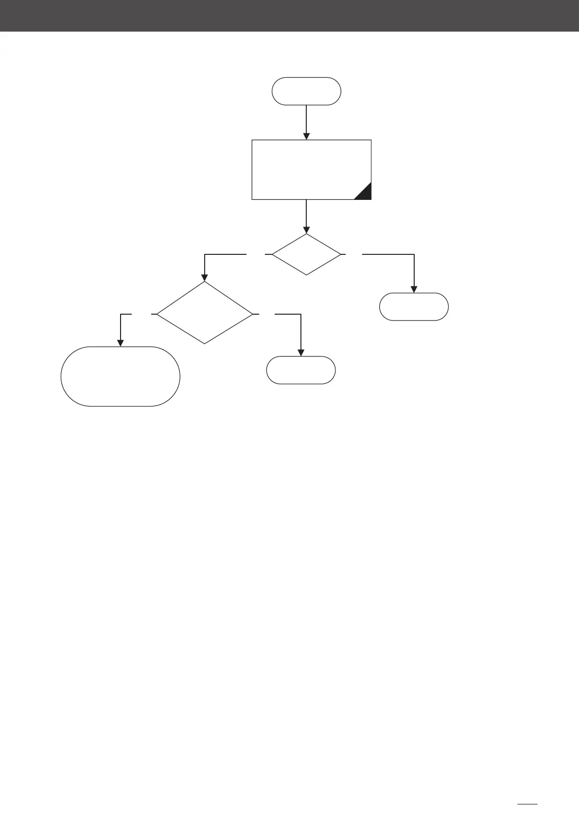
AM02 lack of
communication
Connect the RJ45 connection
cable that links the
oven power board and the
slow top power board, to
a different sock et of the
oven power board
Does the
alarm pers ist?
Replace
the connection
cable. Does the
alarm
pers ist?
Replace first the slow
top power board. If you
do not fix
the problem put
back the old power board
and replace the oven
power board
204

Table of Contents

Related product manuals