EasyManua.ls Logo

Watson-Marlow 730 U - Page 124

Watson-Marlow 730 U
127 pages
Print Icon
To Next Page IconTo Next Page
To Next Page IconTo Next Page
To Previous Page IconTo Previous Page
To Previous Page IconTo Previous Page
Loading...
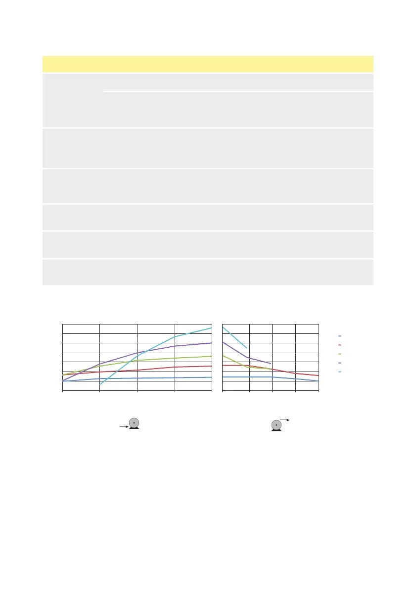
720R/RX and 720RE/REX flow rates
730 cased pumps performance limits
Twin pumphead
(720R/RX,
720RE/REX)
0.25 bar (3.6psi) 0.5 bar (8psi) 1 bar (15psi) 1.5 bar (22psi) 2 bar (30psi)
Max
speed
(rpm)*
Max flow
L/hr
(USGPH)
Max
speed
(rpm)*
Max
flow
Max
speed
(rpm)*
Max
flow
Max
speed
(rpm)*
Max
flow
Max
speed
(rpm)*
Max
flow
9.6mm (0.4”) 300 700 (185) 300
700
(185
)
300
700
(185)
250
590
(156)
200
470
(124)
12.7mm (0.5”) 300 1300 (343) 300
1300
(343)
250
1100
(291)
200
870
(230)
175
760
(261)
15.9mm (0.6”) 300 1800 (476) 200
1200
(317)
175
1100
(291)
19.0mm (0.7”) 300 2500 (660) 200
1700
(449)
160
1390
(366)
25.4mm (1.0”) 300 3300 (872) 200
2200
(581)
*The maximum speed is reduced at increased discharge pressures to ensure safe running of the pump
pressure—psi
02468
0
500
1000
1500
2000
2500
3000
3500
pressure—psi
105 20 30
200
400
600
800
400
300 200
100
0
ow rate—litres/hour
ow rate—USGPH
pressure— mmhg
bar
pressure—psi
pressure—psi
Suction
(-) bar
Pressure
(+) bar
pressure—bar
25.4mm
19.0mm
15.9mm
12.7mm
9.56mm
0.53 0.40 0.27 0.13
0.25 0.50 1.00 1.50 2.00
124 m-730un-en-08.1

Table of Contents

Related product manuals