EasyManua.ls Logo

Zipro Rook - Page 11

Zipro Rook
Print Icon
To Next Page IconTo Next Page
To Next Page IconTo Next Page
To Previous Page IconTo Previous Page
To Previous Page IconTo Previous Page
Loading...
11
PL
zbliżyć klatkę piersiową do kolan. Wytrzymaj przez 15 sekund. Pamiętaj, aby nie zginać
kolan.
2. FAZA ĆWICZEŃ
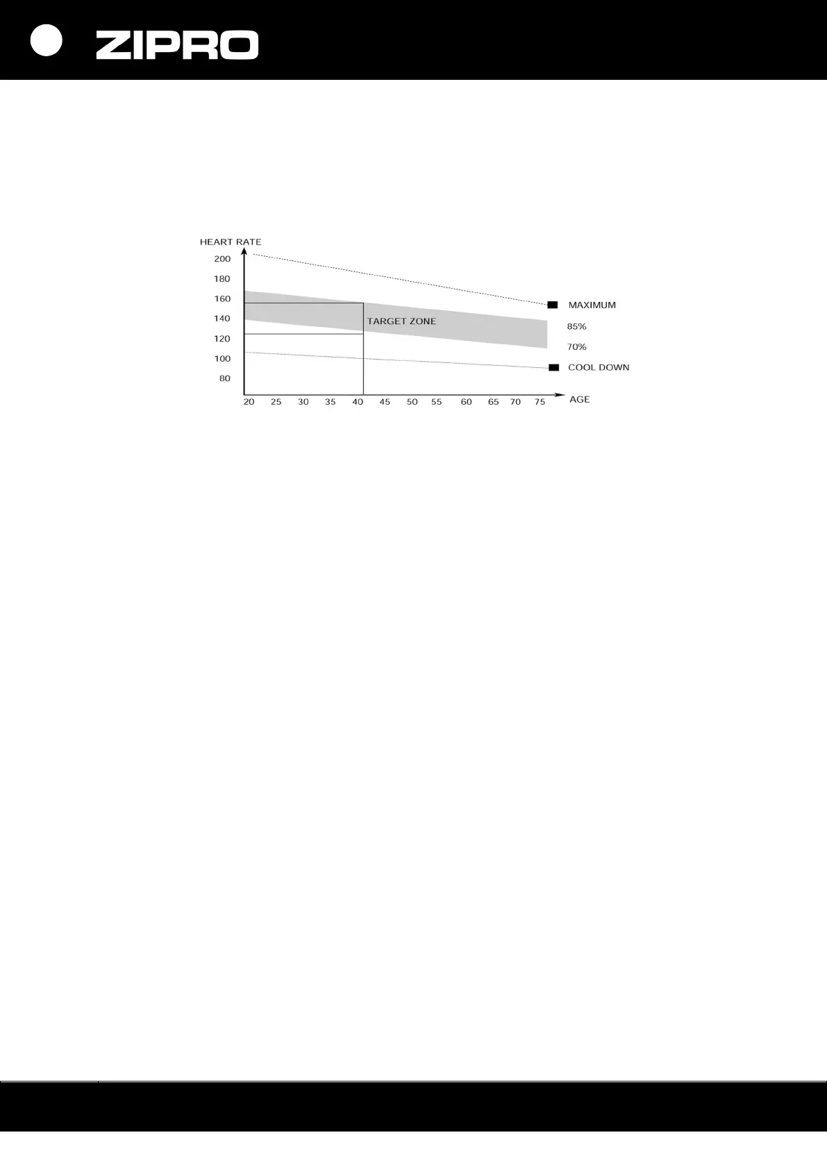
To właściwa faza treningu. Ćwicz we własnym tempie tak, aby osiągnąć adekwatne tętno
do swojego wieku jak przedstawiono na wykresie poniżej.
3. FAZA ODPRĘŻENIA
Faza ta pozwala uspokoić krążenie i odprężyć mięśnie. Jest to powtórka ćwiczeń
rozgrzewających.
Należy pamiętać o tym, aby nie nadwyrężać mięśni.

Related product manuals