EasyManua.ls Logo

ABB ACS2000 AFE 1MVA - Safety and Protection Requirements

ABB ACS2000 AFE 1MVA
177 pages
Print Icon
To Next Page IconTo Next Page
To Next Page IconTo Next Page
To Previous Page IconTo Previous Page
To Previous Page IconTo Previous Page
Loading...
IMPORTANT NOTE ON MAIN CIRCUIT BREAKER 22
Safety and protection requirements
For safety and protection reasons, the MCB must
meet the stipulated minimum requirements of the
specifications of ABB MV Drives. It is the system
integrator's responsibility to ensure that the mini-
mum require-ments are met. The minimum
requirements for the MCB are stated in this note
and in the respective MCB specifications, which are
available for each medium voltage drive from ABB.
The safety requirements for the drive are based on
the following standards:
ISO 13849-1 Safety of machinery - Safety-
related parts of control systems - Part 1: Gen-
eral principles for design, section 6.2.6 Cate-
gory 3
IEC 60204-1 Safety of machinery - Electrical
equipment of machines - Part 1: General
requirements
Minimum requirements for MCB and MCB control
The MCB open and / or trip command has to be
wired directly from the drive to the MCB. It is
not permitted to wire the trip command
through any PLC or DCS system if it is not certi-
fied to meet SIL 3 level requirements, and to ful-
fill the timing requirements outlined below.
Opening of the MCB by the drive must be possi-
ble at any time. It is not permitted to interrupt
the open and / or trip command, eg, by a local-
remote switch in the MCB.
When the MCB is in service position, the drive
must have exclusive control of closing the MCB.
Local closing of the MCB is not permitted.
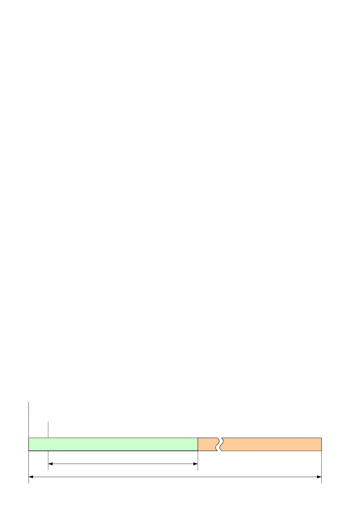
The maximum opening time of the MCB must
never exceed the product or project-specific
maximum time defined in the MCB specifica-
tions. Typical maximum values for the drive are
defined as follows:
- Maximum protection trip time: 75 ms
The maximum protection trip time is the
maximum allowed breaking time (open and
arcing) of the breaking device after the open
command has been initiated to prevent fur-
ther damage to the drive, eg, diode failures.
- Maximum safety trip time: 250 ms
The maximum safety trip time is the maxi-
mum allowed time to ensure safe disconnec-
tion of the main power supply to prevent any
hazard to personnel.
In order to meet the stipulated safety require-
ments, it is recommended that:
the MCB is equipped with two independent
opening coils, or
the MCB is equipped with one opening coil and
an undervoltage coil for monitoring of the con-
trol voltage, or
an upstream protection coordination scheme is
provided which uses the "breaker failure" (ANSI
50BF) signal to automatically trip the upstream
breaker, in case the MCB does not open. The
upstream breaker must open within the maxi-
mum safety trip time after a failure has
occurred.
References
0-2 MCB opening timing
diagram
Short-circuit occurs
Open and or trip command is set at the
drive control output
No further damage to drive
No hazard to personnel
Max. protection trip time
Max. safety trip time

Related product manuals