EasyManua.ls Logo

ACP OMNIVERSA - Treatment Guidelines; Introduction to Medium Frequency Currents

ACP OMNIVERSA
106 pages
Print Icon
To Next Page IconTo Next Page
To Next Page IconTo Next Page
To Previous Page IconTo Previous Page
To Previous Page IconTo Previous Page
Loading...
- 46 - OMNIVERSA
®
ULTRASOUND / ELECTROTHERAPY SYSTEM USER MANUAL
COPYRIGHT © 2017-2020, ACCELERATED CARE PLUS CORP., ALL RIGHTS RESERVED
TREATMENT GUIDELINES
Introduction to Medium Frequency Currents
Medium frequency (MF) currents may be described as electrical currents applied to the body for therapeutic purposes,
which fall in the range of 1000 to 10,000 cycles per second (Hz). This is in contrast to low frequency currents (0.1 to
1000 Hz) such as LVPC and high frequency currents (1 million Hz and beyond), which include ultrasound, shortwave
and microwave diathermy. Medium frequency and short duration low frequency currents are very advantageous for
clinical use due to their ease of skin penetration at lower intensities.
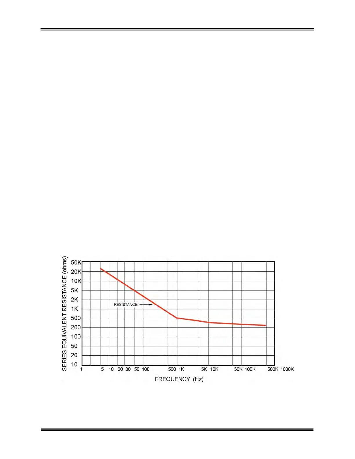
Normal human skin reacts differently to different frequencies of current. Specifically, there is an inverse relationship
between the frequency of the applied current and the skin’s resistance to it. Medium frequency alternating currents in
the range of 1000 or 5000 Hz or biphasic waveforms with pulse durations less than 200 usec provide markedly lower
tissue resistance.
With medium frequency currents, the energy of each individual pulse is low providing for stimulation of only one or
two neurons. Since the pulses are coming in very rapid succession, stimulation of surrounding neurons occurs prior
to completion of the previous neurons refractory period. This allows for asynchronous activation of individual sensory
neurons, mimicking the natural physiologic process of the intact nervous system. This is not the case with low
frequency (0.1 to 1000 Hz) stimulators, which are capable of only stimulus synchronous neural activation.
Medium frequency currents provide rapid analgesic effects. This occurs due to rapid depolarization of non-myelinated
pain-transmitting fibers, which block pain transmission, further contributing to high muscle contraction capabilities.
Additionally, medium frequency currents have been shown to alter the vascular dynamics affecting local and possibly
systemic blood flow to the muscle(s) being stimulated. The unique characteristics of medium frequency currents, (i.e.,
higher percent duty cycle, higher average current intensity, and wider pulse widths), can significantly increase blood
flow by altering the metabolic activity of muscles.
PLOT OF IMPEDANCE AS A FUNCTION OF FREQUENCY USING EPIDUCTIVE SYSTEMS

Related product manuals