EasyManua.ls Logo

Allen-Bradley PowerMonitor 500 - Page 74

Allen-Bradley PowerMonitor 500
90 pages
Print Icon
To Next Page IconTo Next Page
To Next Page IconTo Next Page
To Previous Page IconTo Previous Page
To Previous Page IconTo Previous Page
Loading...
74 Rockwell Automation Publication 1420-UM001E-EN-P - March 2016
Appendix B Technical Specifications
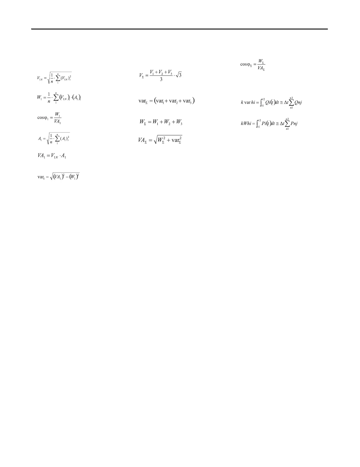
Figure 27 - Calculation Formulas
System variables
Equivalent three-phase voltage
Three-phase real power
Three-phase reactive power
Three-phase apparent power
Phase variables
Instantaneous eective voltage
Instantaneous real power
Instantaneous power factor
Instantaneous eective current
Instantaneous apparent power
Instantaneous reactive power
Energy metering
Where:
i= considered phase (L1, L2 or L3)
P = real power; Q = reactive power;
t
1
,t
2
=starting and ending time points
of consumption recording; n = time
unit; Δ t = time interval between two
successive power consumptions;
n
1
,n
2
= starting and ending discrete
time points of consumption recording
Three-phase power factor
(TPF)

Related product manuals