EasyManua.ls Logo

BIO RAD S3 - Sort Plots

BIO RAD S3
120 pages
Print Icon
To Next Page IconTo Next Page
To Next Page IconTo Next Page
To Previous Page IconTo Previous Page
To Previous Page IconTo Previous Page
Loading...
| 71S3 Cell Sorter Instruction Manual | 71
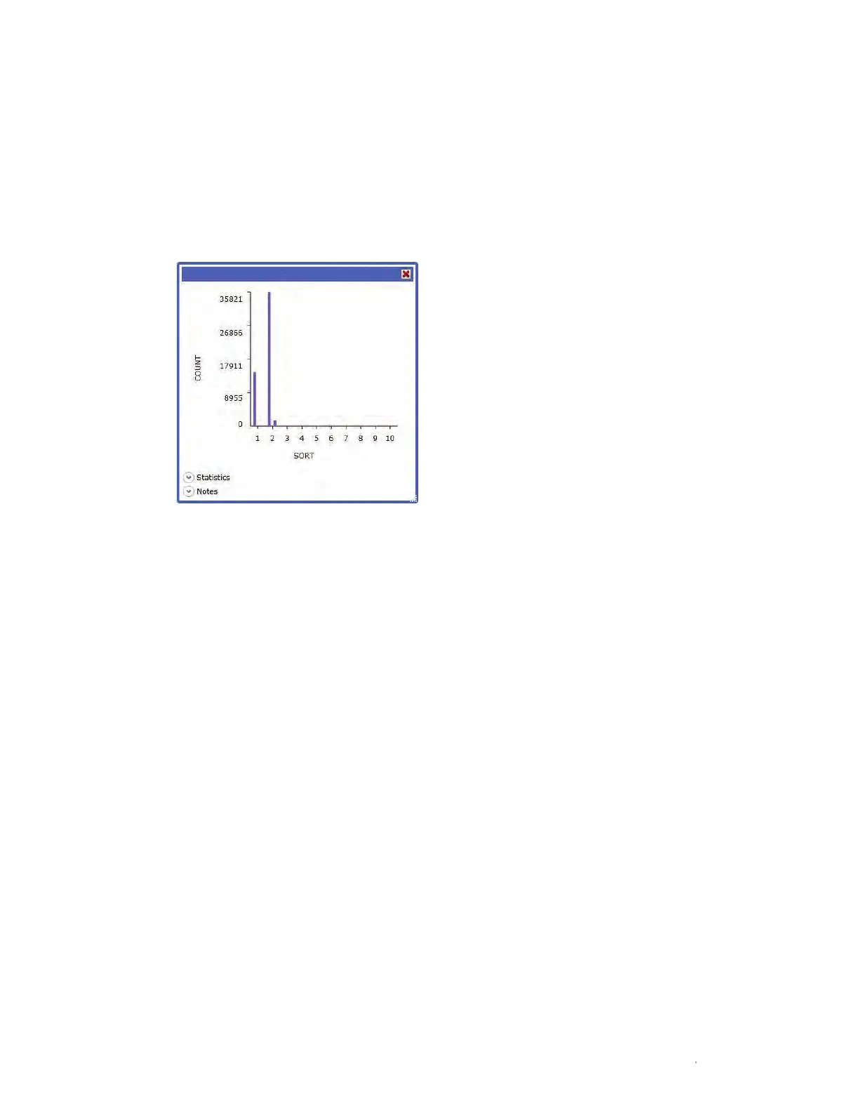
6.4 Sort Plots
During a sorting experiment a sort plot can be created in the current protocol. This plot
displays graphically the counts of events (sorts and aborts) per tube/well/slide spot in the sort
run. The data on this sort plot (Figure 77) correspond to the Sort Statistics window (Figure 76).
The numbers 110 are the sort position designations as assigned in the Sort Logic window
(Figure 74). Regions can be applied to the sort plot. These regions can be applied to other
histograms or density plots.
Fig. 77. Sort Plot window.

Related product manuals