EasyManua.ls Logo

Bosch DDU 9 - Counting Outing;Laps;Fragments

Bosch DDU 9
148 pages
Print Icon
To Next Page IconTo Next Page
To Next Page IconTo Next Page
To Previous Page IconTo Previous Page
To Previous Page IconTo Previous Page
Loading...
Lap Trigger | 15
Bosch Motorsport DDU 9 127/148
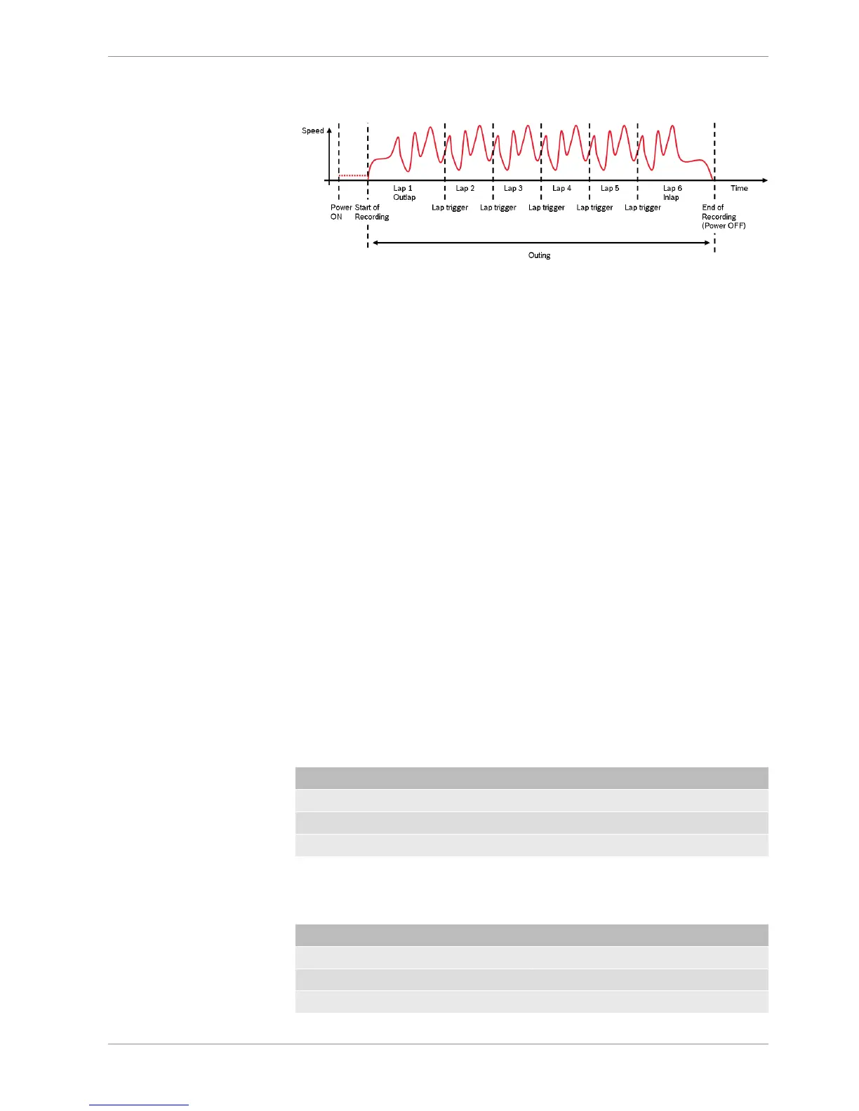
15.2 Counting outing/laps/fragments
Functionality
Power ON: system + measurement is initialized but not yet started
Global start condition fulfilled: recording starts
Reception of valid lap trigger: recording of lap completed, new lap starts
Power OFF or Global start condition not fulfilled: recording of lap completed, system
shutdown
The system is counting:
Outing:
The outing counter is incremented with each power cycle when at least one valid lap
(not by forced lap trigger) was recorded
Lap:
Leaving the pits to lap trigger
Lap trigger to lap trigger
Enforced lap trigger (see Distance based forced trigger [}129])
Fragment:
Test bench operation
Power cycle on track or box (e.g. engine stalled)
File fragmentation size [MB], time [sec]
Channels for display
To display counters use the following channels:
Channel Function
Laptrigger_outcnt_dls Outing counter
Laptrigger_lapctr_dls Lap counter
Fractr Fragment counter
Counting in WinDarab
To automatically name recorded files use filename templates in WinDarab dialog:
Filename template Function
[outing] Value of outing counter
[lap] Value of lap counter
[fragment] Value of fragment counter

Table of Contents

Related product manuals