EasyManua.ls Logo

Branson 900IW+ Series - Stack Assembly; Assembling the Converter-Booster-Horn Stack

Branson 900IW+ Series
108 pages
Print Icon
To Next Page IconTo Next Page
To Next Page IconTo Next Page
To Previous Page IconTo Previous Page
To Previous Page IconTo Previous Page
Loading...
3.6 Stack Assembly
3.6.1 Assembling the Converter-Booster-Horn Stack
Warning:
To prevent personal injury or damage to the equipment
or workpiece being welded, always hold the welder in
place before releasing the column damps. This
procedure may require two people.
If the converter and booster are not assembled:
1.
Raise the welding head by loosening the upper and lower column
clamps and turning the elevation knob clockwise. After raising the
head, re-tighten the column clamps.
2.
Open the carriage door by loosening the captive screws.
3.
Clean the mating surfaces of the converter and booster, as well as the
converter's threaded hole and the booster's threaded stud. Remove any
foreign matter. Make sure the stud is tight in the booster.
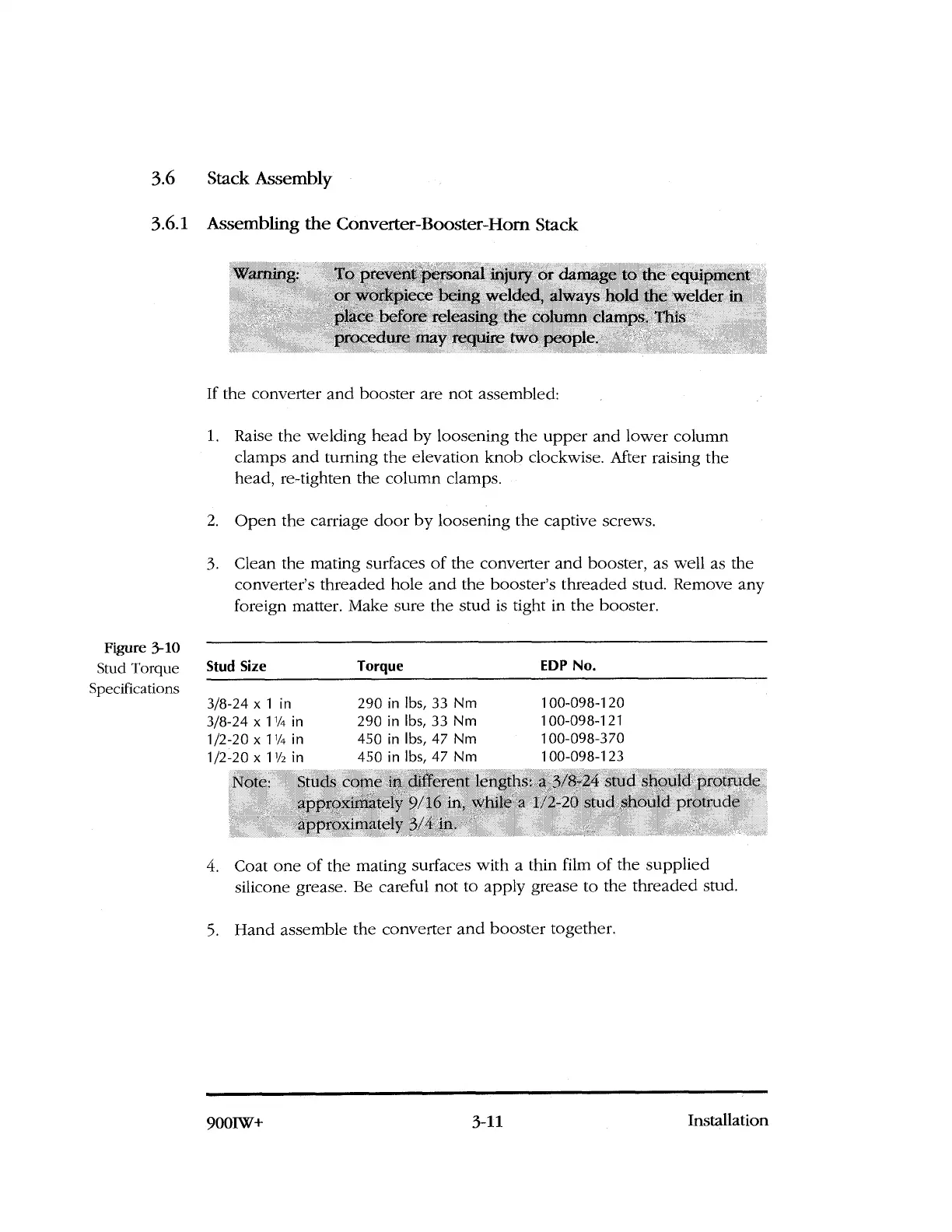
Torque
EDP No.
Figure 3-10
Stud Torque
Specifications
Stud Size
3/8-24 x 1 in
3/8-24 x 1
1
/4 in
1/2-20 x 1
1
/4 in
1/2-20 x 11/2 in
290 in
Ibs,
33 Nm
290 in
Ibs,
33 Nm
450 in
Ibs,
47 Nm
450 in
Ibs,
47 Nm
100-098-120
100-098-121
100-098-370
100-098-123
Note:
Studs come in different lengths: a 3/8-24 stud. should:protrude
approximately 9/16 in, while a 1/2-20 studshould. protrude
approximately 3/4 in.
4.
Coat one of the mating surfaces with a thin film of the supplied
silicone grease. Be careful not to apply grease to the threaded stud.
5.
Hand assemble the converter and booster together.
9001W+
3
-
11
Installation

Table of Contents

Related product manuals