EasyManua.ls Logo

Campbell CS110 - Page 26

Campbell CS110
91 pages
Print Icon
To Next Page IconTo Next Page
To Next Page IconTo Next Page
To Previous Page IconTo Previous Page
To Previous Page IconTo Previous Page
Loading...
Each CS110 is factory calibrated in the parallel-plate calibration fixture shown. A linear fit of the
calibration data results in a calibration equation in slope-intercept form expressed as
E = M
parallel_plate
x V + O
parallel_plate
The multiplier M
parallel_plate
is a function of the CS110 electrode dimensions and the feedback
capacitor in the charge amplifier. The offset term O
parallel_plate
is due to unwanted surface
charges residing on non-conductive deposits on the electrodes.
The electric field offset of an instrument varies over time because of variations in surface
cleanliness as well as charging and discharging processes. Polished 316-L stainless steel is used
for critical electrode surfaces on the CS110 to minimize unwanted surface charges. CS110s with
clean electrodes have been found to display electric field offsets less than 30 V/m, which has
negligible effect on the determination of M
parallel_plate
because of the ±15000 V/m range of
electric fields used during factory calibration. Neglecting O
parallel_plate
results in the simplified
parallel-plate calibration equation
E = M
parallel_plate
x V
The estimated measurement accuracy of M
parallel_plate
for the CS110 calibrated in the parallel
plate electric field calibrator shown is ±1%. The electric field offset of the CS110 can be measured
by covering the stator with a clean Zero Electric Field Cover. If the resulting zero field reading
with the zero field cover exceeds |±60 V/m x C
site
|, then clean the electrodes of the CS110. For
example, if the typical C
site
is 0.1, then clean the electrodes if the zero reading exceeds |6 V/m|
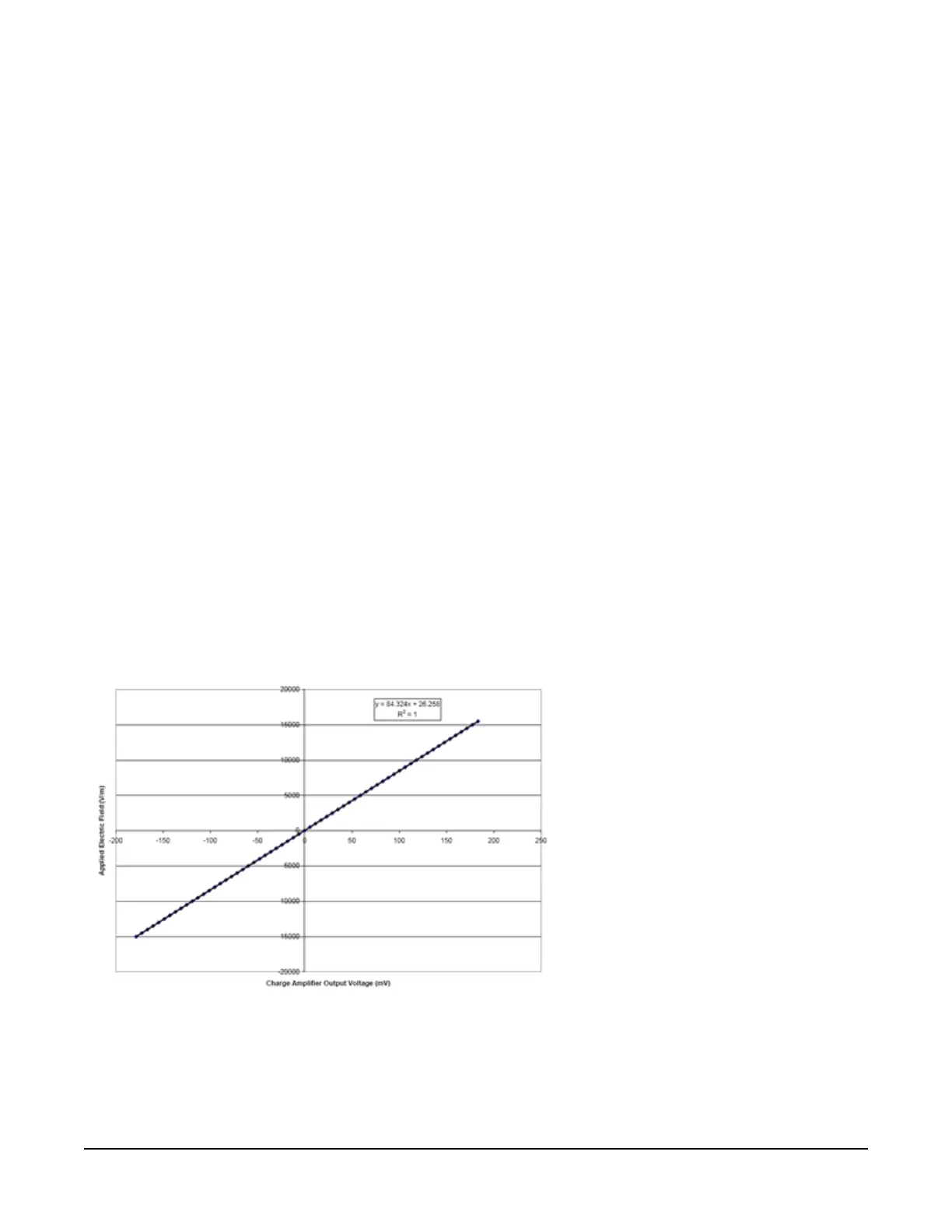
The factory calibration data for a typical CS110 calibration and resulting determination of
M
parallel_plate
= 84.32 V/m x mV is shown in the following figure.
A calibration certificate is sent with each CS110.
CS110 Electric Field Meter 21

Table of Contents

Related product manuals