EasyManua.ls Logo

Clarion CZ101 - Connecting Accessories; External Amplifier and Accessory Wiring

Clarion CZ101
28 pages
Print Icon
To Next Page IconTo Next Page
To Next Page IconTo Next Page
To Previous Page IconTo Previous Page
To Previous Page IconTo Previous Page
Loading...
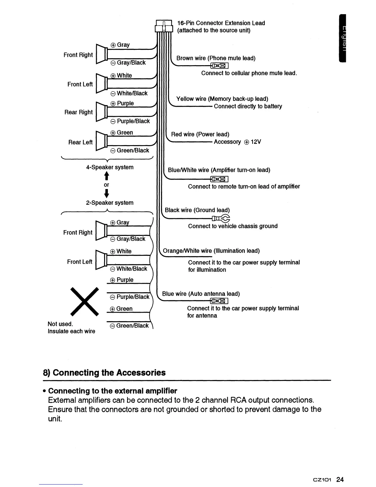
16-Pin Connector Extension Lead
(attached to the source unit)
Connect to cellular phone mute lead.
Brown wire (Phone mute lead)
Yellow wire (Memory back-up lead)
~----
Connect directly to battery
®Gray
8 GraylBlack
+ White
8 PurplelBlack
+ Green
8 GreenlBlack
Red wire (Power lead)
.l)------'1I11
....
-----Accessory
® 12V
Rear Left
Front Left
Rear Right
Front Right
'-
.....
_---
.....
y,-------/
4-Speaker system
t
or
2-Speaker system
r
__
------
A
......
-----.,'"
BluelWhite wire (Amplifier turn-on lead)
Connect to remote turn-on lead
of
amplifier
Black wire (Ground lead)
Front Right
Front Left
Not used.
Insulate each wire
®Green
Connect to vehicle chassis ground
OrangelWhite wire (Illumination lead)
Connect it
to
the car power supply terminal
for illumination
Blue wire (Auto antenna lead)
Connect it to the car power supply terminal
for antenna
8) Connecting the Accessories
Connecting to the external amplifier
External amplifiers can be connected to the 2 channel RCA output connections.
Ensure that the connectors are not grounded
or
shorted to prevent damage to the
unit.
CZ101
24

Other manuals for Clarion CZ101

Related product manuals