EasyManua.ls Logo

cypress solutions CTM-ONE - Power Consumption

cypress solutions CTM-ONE
32 pages
Print Icon
To Next Page IconTo Next Page
To Next Page IconTo Next Page
To Previous Page IconTo Previous Page
To Previous Page IconTo Previous Page
Loading...
© 2021 Cypress Solutions Manual: CTM-ONE (Revision 1.0)
27
The CTM-ONE can be configured to remain on for a defined period after the standby/ignition signal has been
turned off. This enables the gateway to continue sending position reports or be used for data operations
even after the vehicle ignition has been switched off e.g., for short duration driver breaks.
When in its power shutdown mode, the gateway may be configured to resume full operation by monitoring
events such as:
Acceleration
GPS location (on board Geo-Fence)
Time
Speed
Temperature
Voltage
Input events
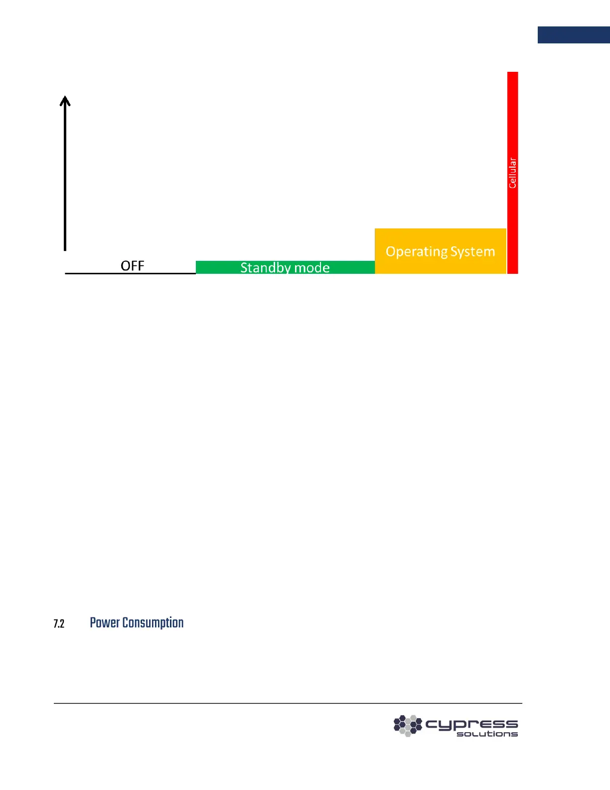
The power consumption of the CTM-ONE gateway will depend on its supply voltage, its current operating
function, and its RF environment.

Other manuals for cypress solutions CTM-ONE

Related product manuals