EasyManua.ls Logo

D-Link DFL-1660 - Packet Flow Schematic Part III

D-Link DFL-1660
595 pages
Print Icon
To Next Page IconTo Next Page
To Next Page IconTo Next Page
To Previous Page IconTo Previous Page
To Previous Page IconTo Previous Page
Loading...
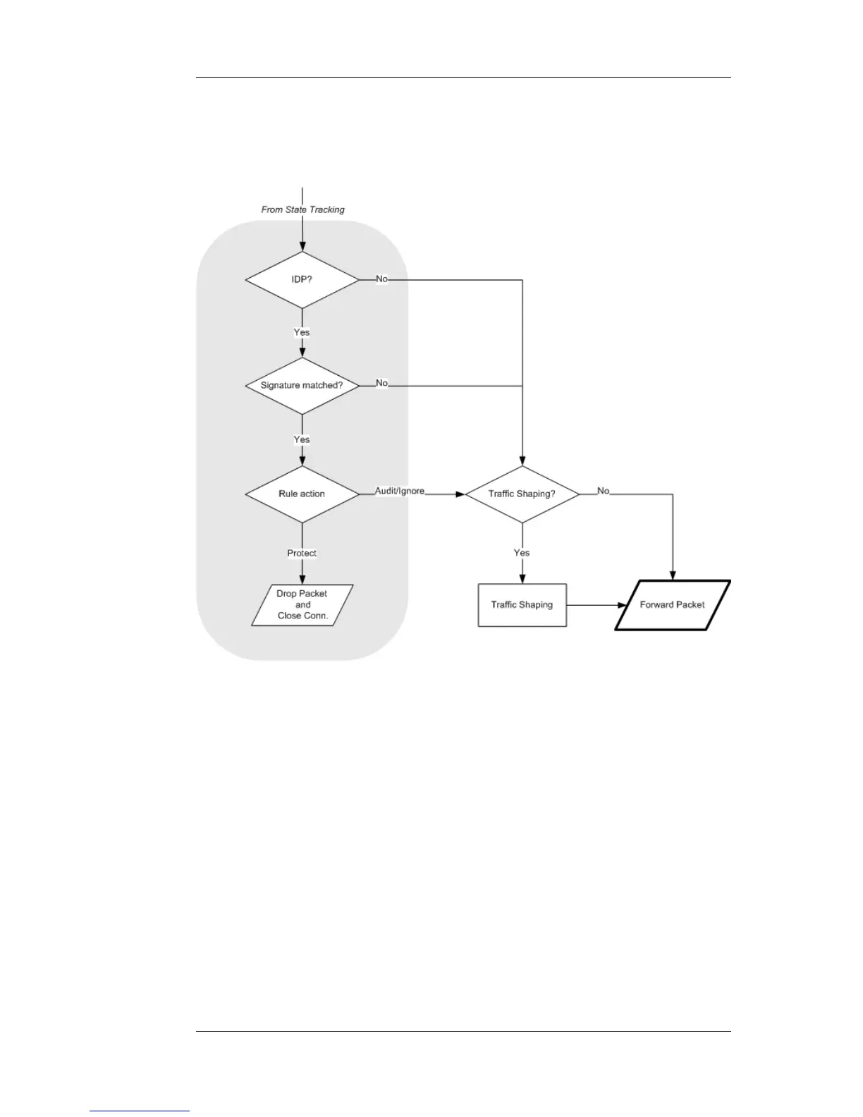
Figure 1.3. Packet Flow Schematic Part III
1.3. NetDefendOS State Engine Packet
Flow
Chapter 1. NetDefendOS Overview
26

Table of Contents

Other manuals for D-Link DFL-1660

Related product manuals