EasyManua.ls Logo

Daikin ERQ - 1 Operation Mode

Daikin ERQ
260 pages
Print Icon
To Next Page IconTo Next Page
To Next Page IconTo Next Page
To Previous Page IconTo Previous Page
To Previous Page IconTo Previous Page
Loading...
Operation Mode ESIE09-05
22 Function
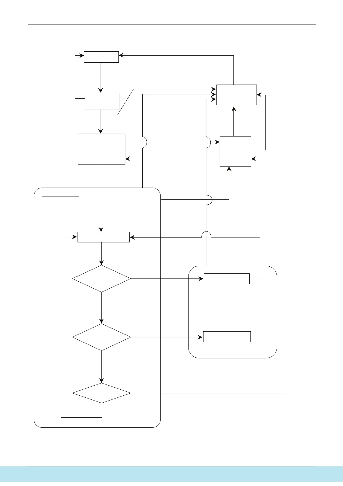
1. Operation Mode
Operation in
stop mode
Pressure
equalization
prior to startup
Startup control
Cooling startup
control
Heating startup
control
Oil return IN
conditions are met.
Operation
mode c
hange
Oil return operation
Pump-down
residual
operation
Restart standby
(Compressor stop)
Yes
Yes
No
No
Malfunction/Standby
AHU stop or
thermostat OFF
Normal operation
Compressor PI control
Electronic expansion
valve PI control
Protection control
AHU thermostat ON
Defrost IN
conditions are met.
No
Yes
Defrosting operation
Cooling or heating
operation
AHU thermostat ON
AHU stop or
thermostat OFF
AHU stop or
thermostat OFF
Malfunction/
Standby
Malfunction/
Standby
Note:
In the AHU stops or the thermostat
turns OFF while in oil return operation or
defrosting operation, pump-down residual
operation is performed on completion of the oil
return operation or defrosting operation.
Malfunction/Standby
(V3152)
Все каталоги и инструкции здесь: http://splitoff.ru/tehn-doc.html

Table of Contents

Related product manuals