EasyManua.ls Logo

Danfoss ECL 2000 - Optimizer

Danfoss ECL 2000
106 pages
Print Icon
To Next Page IconTo Next Page
To Next Page IconTo Next Page
To Previous Page IconTo Previous Page
To Previous Page IconTo Previous Page
Loading...
Service Settings
EY.65.H4.02
42
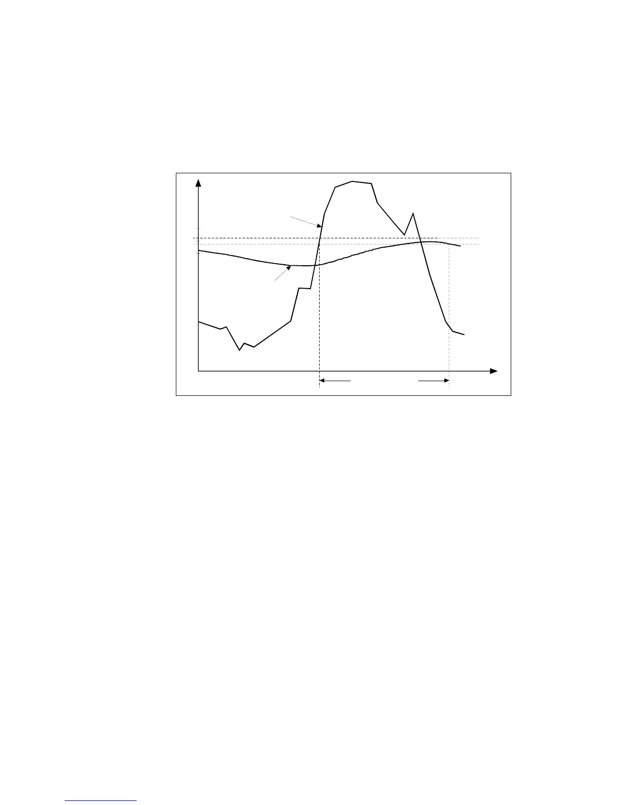
The diagram in Figure 4 illustrates the summer cut-off function. When the measured
outdoor or room temperature exceeds the setpoint (Outdoor temp. or Room temp.
setting) by 0.5 K, the flow temperature is reduced. The night setback level is main-
tained until the filtered outdoor/room temperature drops below the setpoint – 0.5 K.
See page 71 for information on setting parameters for calculating the filtered tem-
perature.
[Hours]
Plant switched off
Filtered temperature
Temperature
Measured temperature
Time
} 1K
°C
20
18
16
Figure 4. The summer cut-off function
Optimizer
The purpose of the ECL 2000’s Optimizer function is to help run the plant in the most
economic manner possible. The Optimizer offers functions for:
Calculating the optimum starting time in order for room temperature to reach the
desired level (the comfort temperature) at the time defined in the 7-day plan.
Calculating how much ahead of time the system can be switched to night setback
temperature, making sure, however, that the room temperature does not drop by
more than 1 K before the pre-programmed night-setback time.
Selecting the optimum method for pre-heating the system.
Settings for the optimizer are described on the following pages.
By default, the Optimizer functions are disabled. This has been accomplished by set-
ting the parameters Pre-heat period: Max. limit and Cooling period: Max. limit to
0 hours. The Optimizer functions can be enabled by changing these settings as indi-
cated on page 43. Optimizer heating and cooling can be enabled/disabled separately.

Other manuals for Danfoss ECL 2000

Related product manuals