EasyManua.ls Logo

Datalogic SG4 BASE - Page 19

Datalogic SG4 BASE
73 pages
Print Icon
To Next Page IconTo Next Page
To Next Page IconTo Next Page
To Previous Page IconTo Previous Page
To Previous Page IconTo Previous Page
Loading...
SG4 BASE
19/73
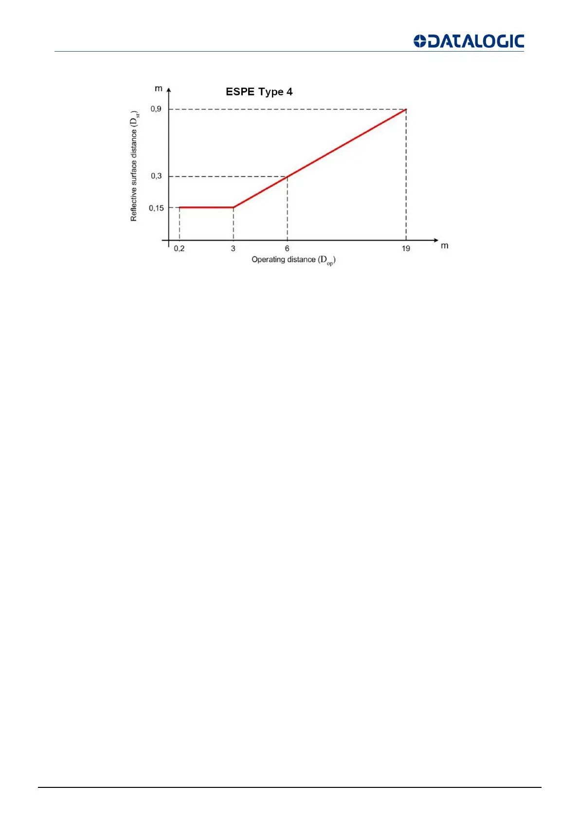
for ESPE Type 4 EAA = 5° (α = ± 2.5°)
Fig 14 - Minimum distance from reflective surface
The formula to get Dsr is the following:
For ESPE Type 4:
Dsr (m) = 0.13 for operating distance < 3 m
Dsr (m) = 0.5 x operating distance (m) x tg 2a for operating distance >= 3 m

Table of Contents

Related product manuals