EasyManua.ls Logo

Eaton EASY-E4-UC-12RCX1 - Analog Comparator Signal Diagram

Eaton EASY-E4-UC-12RCX1
621 pages
Print Icon
To Next Page IconTo Next Page
To Next Page IconTo Next Page
To Previous Page IconTo Previous Page
To Previous Page IconTo Previous Page
Loading...
6. Function blocks
6.1 Manufacturer function blocks
Other
Signal diagrams
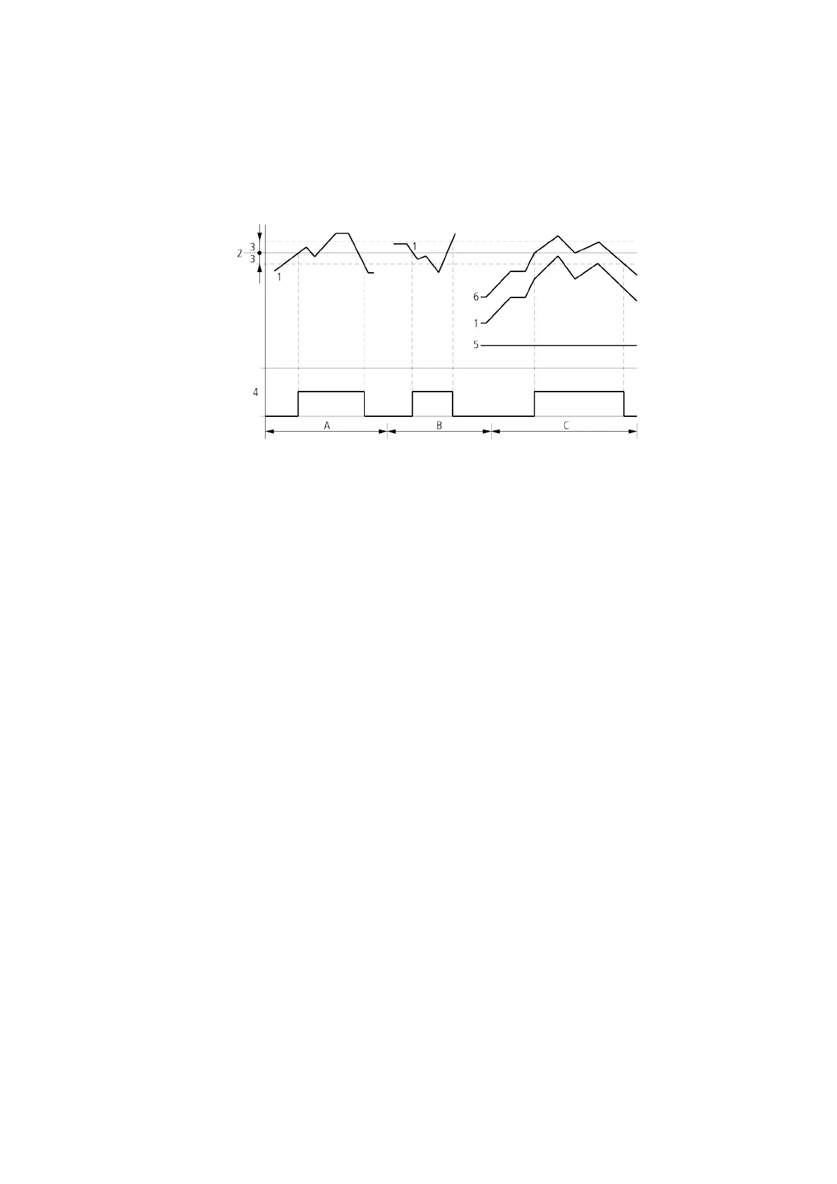
Figure 137: Analog comparator signal diagram
Legend for Figure
1: Actual value at I1
2: Setpoint value on I2
3: Hysteresis on HY
4: Switching contact Q1 (N/O contact)
5: Offset for value I1
6: Actual value plus offset
Range A: Compare I1 greater than I2
The actual value I1 increases.
The contact switches when the actual reaches the setpoint value.
The actual value changes and falls below the value of the setpoint value minus the hysteresis.
The contact goes to the normal position.
Range B: Compare I1 less than I2
The actual value drops.
The contact switches if the actual value reaches the setpoint value.
The actual value changes and rises above the value of the setpoint value plus hysteresis.
The contact goes to the normal position.
Range C: Compare I1 with Offset greater than I2
This example behaves as described in Range A. The offset value is added to the actual value.
Compare I1 equal to I2 The contact switches on.
If I1 is equal to I2, i.e., if the actual value is equal to the reference value: The contact will switch off.
If the hysteresis limit is exceeded with the actual value rising.
If the hysteresis limit is undershot with the actual value decreasing.
Range D: I1 with offset leaves the permissible value range. The contact CY closes. CY opens as soon
as I1 with offset is once more within the value range.
248
easyE4 11/18 MN050009 EN www.eaton.com

Table of Contents

Other manuals for Eaton EASY-E4-UC-12RCX1

Related product manuals